Jump to content

Nb d'isomères et formule brute


Go to solution Solved by H20,

Recommended Posts

Posted

Bonjour, 

Lors de la dernière colle il y avait plusieurs questions de chimie organiques qui nous demandaient quel était le nombre d'isomères correspondant à une formule brute. Ex ; 

- "On considère les isomères cycliques de formule brute C5H10. La correction indique : "Il y a exactement 7 isomères correspondant à cette formule."

- "Combien d’isomères, au maximum, présente la formule brute C6H14 acyclique ?" Réponse : 5 isomères. 

Je ne comprends pas vraiment comment faire pour obtenir ça...

Merci par avance pour votre réponse et bonne journée :) 

 

Posted

bonjour, ou as tu trouvé ces items ? ici tu es dans l'espace las et il n'y avait pas de questions de chimie organique sur cette colle. je n'ai pas trouvé ces items dans la colle des pass non plus. Sinon pour connaitre le nombre d'isomères, il faut que tu dessines toutes les molécules possibles de la formule brute !

Posted

Bonjour,

Je suis bien en L.AS et ils étaient dans les QCM 5 et 9 de la première partie "chimie organique" de la colle N°8 disponible du 10 au 12 février (je suis désolée de ne pas avoir précisé).

Et donc si j'ai bien compris on dessine tous les isomères possibles de chaine seulement pour connaître leur nombre à partir de la formule brute ? 

  • Ancien Responsable Matière
  • Solution
Posted

Coucou @maud46

 

C'est vrai que rechercher des isomères ça prends tu temps et c'est pas facile. On vous a mis ces QCMs pour vous faire réfléchir sur les isomères mais à l'examen je doute que vous aurez à faire ça. 

 

Donc pour résoudre ces items, il fallait réfléchir par rapport à la formule brute. 

 

Dans le QCM 5 la formule brute du composé est C6H14 acyclique : comme précisé le composé est acyclique donc on peut enlever tous les isomères cycliques. Tu pouvais également le savoir à partir de la formule brute C6H14 qui est de la forme CnH2n+2 . Ici ton n = 6, donc tes isomères correspondent à des alcanes linéaires ou acycliques. Il n'y a pas de doubles liaisons étant donné que ce n'est pas un alcène CnH2n, ni de triple liaisons CnH2n-2.

Du coup pour trouver les isomères, tu commences par écrire l'alcane avec les 6 carbones linéaires c'est-à-dire l'hexane. Puis tu trouves les isomères ramifiés de composé : image.png.e9bbbdb5a50aaae6c590a870fe789cf0.png

Voilà, tu en as donc 5 au total.

 

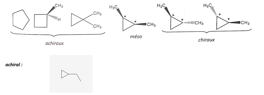
Pour le QCM 9 on vous parle des isomères cycliques de formule brute C5H10. En regardant la formule brute qui est de la forme CnH2n avec n = 5, tu comprends que c'est soit un alcène soit c'est un alcane cyclique. Comme précisé, on parle des isomères cycliques donc des alcanes cycliques. Donc pareil, tu commence par l'alcane cyclique à 5 carbones le cyclopentane et ensuite tu réduit ton cycle en ajoutant des -CH3 (méthyle) ou bien des -C2H5 (éthyle). En n'oubliant pas de changer les configurations des carbones asymétriques, tu obtiens donc au final 7 isomères : 

image.png.a7d81ee5d276b28136c83f925c43e942.png

 

Voilà j'espère que c'est plus clair !

Join the conversation

You can post now and register later. If you have an account, sign in now to post with your account.
Note: Your post will require moderator approval before it will be visible.

Guest
Reply to this topic...

×   Pasted as rich text.   Paste as plain text instead

  Only 75 emoji are allowed.

×   Your link has been automatically embedded.   Display as a link instead

×   Your previous content has been restored.   Clear editor

×   You cannot paste images directly. Upload or insert images from URL.

  • Recently Browsing   0 members

    • No registered users viewing this page.
×
×
  • Create New...