Ancien Responsable Matière Maepicondyle Posted February 10, 2023 Ancien Responsable Matière Posted February 10, 2023 Coucouuu ! J'avais une petite question au sujet de de la l.as 2, j'entends beaucoup de bruits de couloir de partout disant que telle ou telle personne de ma filière en sciences de la vie avaient eu médecine l'an dernier avec telle moyenne tout ça. Mais j'ai du mal à me situer par rapport aux L.AS 2 cette année sachant qu'on est presque 400. Je voulais savoir du coup, combien de L.AS 2 ont candidaté pour MMOPK l'an dernier? Dr_Zaius 1 Quote
Moustache Posted February 10, 2023 Posted February 10, 2023 Coucou @lili08 alors il me semble qu'on était 230 à candidater en début d'année, pour au final être 170 (après l'exam santé pour les personnes qui devaient la repasser) pour 199 places donc plus de places que de personnes. A prendre avec d'énormes pincettes parce que notre sélection s'est faite en PASS donc on était très peu en LAS2 et c'est d'ailleurs pour ça que le système de notation s'est simplifié. Je ne pense pas qu'on puisse se baser sur des moyennes pour prédire une réussite sachant que le programme des licences à changé etc... Dans tous les cas, tu dois faire en sorte d'avoir les meilleures notes pour mettre toutes les chances de ton côté çapasseouçacasse, Dr_Zaius, Sioplèt and 2 others 4 1 Quote
Emmals Posted February 10, 2023 Posted February 10, 2023 coucou @lili08, je n’ai plus les chiffres exacts en tête mais environ 150 personnes ont candidaté pour environ 250 candidats au départ ( et un numérus total de 199 si je dis pas de bêtise ) . Ceux qui ont candidaté sont ceux qui ont validé leur L2 + la mineure santé pour les anciens LAS1 . Tout le monde a eu la filière de son choix l’année dernière , il faut prendre en compte que c’était une année exceptionnelle et que nous étions les premiers LAS2 . Je pense que cette année le taux de réussite risque d’être légèrement inférieure ( du à un nombre de candidat un peu + élevée ) même si la LAS2 restera encore cette année une vrai 2 eme chance ! Pour les moyennes c’est très variable d’une année à l’autre et selon le nombre de gens dans ta licence . Reste focus sur toi et bon courage pour ce S2 . çapasseouçacasse, Moustache and Dr_Zaius 3 Quote
Ancien Responsable Matière Maepicondyle Posted February 10, 2023 Author Ancien Responsable Matière Posted February 10, 2023 @Moustache@Emmals oui vous avez surement raison, merci pour les infos en tout cas ! Autre question, vous savez quels calculs sont faits exactement pour le lissage? Moustache 1 Quote
druide Posted February 10, 2023 Posted February 10, 2023 Il y a 6 heures, lili08 a dit : vous savez quels calculs sont faits exactement pour le lissage? Alors on ne sait toujours pas cette année les modalités précises d'admissibilité pour la LAS2, les réunions sont apparemment compliqués à être mises en place en les différentes facs et la fac de santé. Mais ce serait je crois soit écart-type ou la méthode des centilles, un truc du style. Voilà, on en est tous au même stade à ne pas savoir!! Dr_Zaius 1 Quote
Ancien du Bureau Dr_Zaius Posted February 11, 2023 Ancien du Bureau Posted February 11, 2023 Il y a 15 heures, lili08 a dit : @Moustache@Emmals oui vous avez surement raison, merci pour les infos en tout cas ! Autre question, vous savez quels calculs sont faits exactement pour le lissage? Coucou @lili08 ! Comme l'a dit @druide, il y a pas eu de précision supplémentaires par rapport au document des règles d'accès MMOP-K sur le site de la fac de médecine qui mentionne la méthode des centiles : Explication concernant cette méthode des centiles, pour les gens fâchés avec les maths : Prenons une foule de personnes (peu importe leur nombre), on décide de faire 100 groupes de tailles égales avec ces personnes. Mais évidemment on a créé ces groupes selon un critère, ici on prendra l'âge des personnes par exemple. Le centile de Ghislaine 71 ans dans une population d'étudiants ~20-30 ans va être très élevé, en effet Ghislaine est plus vieille que 95% des étudiants ! Le rang centile de Ghislaine est 96 (décalage de 1 pour pas écrire 0ème centile) ! Plus le rang centile est élevé plus la donnée occupe une position haute dans l'échantillon. Donc concrètement pour la LAS ça donne que les moyennes auront une importance seulement indirecte. Elles permettront juste le calcul de votre rang centile qui lui pourra être utilisé pour vous comparer aux autres LAS. La méthode étant la suivante pour le calcul du rang : Exemple : 1) Léa a 13/20 de moyenne dans une Licence d'accrobranche de 126 étudiants, la moyenne en accrobranche est de 8.5/20. Au final elle arrive 24ème de sa licence : RangLéa = ((126 - 24) + 1/2) * 100 / 126 = 81,35 2) Paul a 15/20 de moyenne dans une Licence de paintball de 323 étudiants, la moyenne en paintball est de 11/20. Au final il arrive 36 ème de sa licence avec un ex-æquo : RangPaul = ((323 - 36) + 2/2) * 100 / 323 = 89,16 1) Ghislaine (la même que tout à l'heure ) a 17.5/20 de moyenne dans une Licence de scrabble de 287 étudiants, la moyenne en scrabble est de 10.5/20. Au final elle arrive 11 ème de sa licence : RangGhislaine = ((287 - 11) + 1/2) * 100 / 287 = 96.34 Sacré Ghislaine à 71 ans elle passe en P2 en étant devant Paul et Léa au classement ! Voilà bon courage tout le monde, en attendant plus d'infos (Je précise que je ne fais qu'expliquer la méthode pas prendre parti ici ) MelisSartan, l'aligot, Moustache and 4 others 7 Quote
Ancien Responsable Matière Maepicondyle Posted February 11, 2023 Author Ancien Responsable Matière Posted February 11, 2023 @Dr_Zaius waouh d'accord c'est compliqué mdrr mais merci beaucoup ! Attend mais dans ce calcul ça signifie que la moyenne de la licence n'est pas prise en compte si j'ai bien compris. Quote
Ancien du Bureau Dr_Zaius Posted February 11, 2023 Ancien du Bureau Posted February 11, 2023 il y a une heure, lili08 a dit : @Dr_Zaius waouh d'accord c'est compliqué mdrr mais merci beaucoup ! Attend mais dans ce calcul ça signifie que la moyenne de la licence n'est pas prise en compte si j'ai bien compris. "Est prise en compte" n'a aucune réalité mathématique dans le calcul d'un centile . Toute note disparait, l'avantage c'est que si t'es major de promo avec 11 de moyenne t'as un très bon centile et si t'es dernier de ta licence avec 19, t'as un mauvais centile. Tu vois l'idée ? La part d'ombre c'est si ils touchent aux moyennes ... Aucune communication là dessus pour l'instant, mais apparemment ça devrait être le cas "dans un futur pas si proche" Bon courage Maepicondyle and l'aligot 2 Quote
Ancien du Bureau Vaiana Posted February 11, 2023 Ancien du Bureau Posted February 11, 2023 @lili08 Hello, Au départ on était 230 en LAS2 à candidater pour final finir à 158 LAS ;) Il y avait en tout 199 places donc tout le monde a eu quelque chose ! Les places de LAS1 ont été redistribuées aux LAS2 :) (il y avait beaucoup de places vacantes car uniquement une quarantaine de LAS1 avaient réussi) Bisous ! PetiteComète and Dr_Zaius 1 1 Quote
Ancien Responsable Matière Maepicondyle Posted February 11, 2023 Author Ancien Responsable Matière Posted February 11, 2023 @Vaiana@Dr_Zaius Merci beaucoup pour les infos ! Dr_Zaius 1 Quote
End Posted February 12, 2023 Posted February 12, 2023 Salut @Dr_Zaius, Cette formule voudrait dire que le 3 eme d'une promo de 400 élèves sera devant le major d'une promo de 100 élèves ? En fait , plus il y'a du monde dans ta promo , et moins y'a de LAS , plus t'as de chances d'être GA (si t'es bien placé dans le classement) ? Vaiana and Dr_Zaius 1 1 Quote
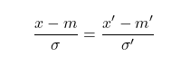
Ancien du Bureau Dr_Zaius Posted February 12, 2023 Ancien du Bureau Posted February 12, 2023 (edited) Il y a 2 heures, Inactif a dit : Salut @Dr_Zaius, Cette formule voudrait dire que le 3 eme d'une promo de 400 élèves sera devant le major d'une promo de 100 élèves ? En fait , plus il y'a du monde dans ta promo , et moins y'a de LAS , plus t'as de chances d'être GA (si t'es bien placé dans le classement) ? Affirmatif pour la première assertion. Parcontre le nombre de LAS n'a aucune incidence sur le calcul du centile. La conséquence est indirecte : plus de las = plus difficile d'accéder au haut de la licence = moins bon centile. Mais bon 400 c'est vraiment des promos énormes à part en BCP je vois pas de licence avec autant de monde. Ceux qui sont dans des licences plus petites sont certes moins de LAS mais l'effectif considéré est plus court aussi. Ce que j'arrive toujours pas à comprendre c'est le lissage, étant donné que les notes non aucune incidence dans le calcul du rang centile je vois pas pourquoi ils le mentionnent et disent qu'ils le prendront en compte, l'intersection des deux méthodes est vide selon moi. Bon courage @Inactif Je pense que si on nous confirme qu'il y aura bien harmonisation des notes par l'écart-type je ferai un rajout à ce post Concernant l'harmonisation/lissage c'est assez problématique selon moi car ils font intervenir leur volonté de comparer des notes... Je m'explique : On a : x la moyenne d'un étudiant dans sa licence m la moyenne dans ta licence, σ l'écart type dans ta licence, x' la note harmonisée finale , m' la moyenne voulue pour la distribution, σ' l'écart type voulu pour la distribution. L'écart-type σ est un paramètre de dispersion. Il mesure la dispersion de la série par rapport à la moyenne m. Plus les éléments de la série sont éloignés de la moyenne, plus l'écart-type est élevé. ( oui ça marche dans les deux sens s'il y a des très bonnes mais aussi des très mauvaises notes cela augmente l'écart-type) Ducoup ce qu'on veut c'est que les hiérarchies de notes soient conservées on a donc l'égalité suivante : ça garantit que si vous avez une meilleur moyenne que quelqu'un de votre licence vous êtes au moins sûr d'être devant au classement, je surprends personne j'espère . De cette égalité on tire la formule de la note lissée d'un étudiant suivante : L'écart-type vous l'avez compris va prendre une importance super grande, je vous donne quelques exemples : Mettons que la fac veuille une moyenne à 12 avec un écart-type de 2. Ce qui semble des paramètres raisonnables, on a donc : m' = 12 σ' = 2 Exemple1 : licence où les notes sont très serrées entre les étudiants (peu de très bonnes notes et de très mauvaises notes) : Matthieu a 14 dans sa licence de moyenne 11 mais les notes sont serrées entre les étudiants écart-type de 1. NoteFinaleMatthieu = 2/1 x (14 - 11) + 12 = 18 Exemple2 : licence où les notes sont disparates entre les étudiants (De très bonnes notes et de très mauvaises aussi) : Emilie a 17, la moyenne de sa licence est de 11 mais les notes sont dispersées il y a des 4 de moyenne et des 19 par exemple donc écart-type de 3 NoteFinaleEmilie = 2/3 x (17 - 11) + 12 = 16 Au final c'est Matthieu qui passe très largement devant Emilie. Typiquement avec cette méthode c'est plutôt votre licence qui détermine votre classement avec un avantage aux licences où tout le monde a la même note à quelques demi-points près Voilouuuuu ! Edited February 12, 2023 by Dr_Zaius Maepicondyle, l'aligot, betadeux and 1 other 1 1 1 1 Quote
End Posted February 12, 2023 Posted February 12, 2023 Merci pour ce beau paragraphe ! Mais là d’autres interrogations me viennent à l’esprit …. Pour moi , ça s’arrêtait à la méthode des centiles , mais effectivement comment font ils pour augmenter les moyennes ou les baisser , ce fameux lissage finalement …. Donc finalement pour le classement des Las2 , il faudrait passer par la méthode des centiles + la formule du lissage ( qui a permis de lisser les mineurs en pass) ? Est ce écrit quelque part qu’il y’a intersection de ces 2 méthodes , pourquoi ne pas s’arrêter seulement à la méthode des centiles ? Merci à toi aussi ! J’espère que ça se passe bien du côté de ta licence . Quote
Ancien Responsable Matière Maepicondyle Posted February 12, 2023 Author Ancien Responsable Matière Posted February 12, 2023 @Dr_Zaius ton explication est très claire, merci pour ça. Mais je t'avoue que j'ai du mal à comprendre comment un étudiant à 14 de moyenne gé avec une moyenne de licence à 11 prendrait 4 points de moyenne alors qu'un autre avec 17 et la même moyenne de promo perdrait 1 point (j'ai compris le calcul mais juste dans la logique). Dans le sens ou beaucoup de bonnes notes et de très mauvaises notes signifie qu'il y a des étudiants qui bossent beaucouuup et d'autres qui ne font pas grand chose dans la même licence, et j'avais cru comprendre que ce genre de cas de figure était plus avantagé. En tant que contre exemple, je suis dans une licence avec un assez bon niveau et a peu près toutes les moyennes tournent autour de 11 à 13 et on nous avait fait comprendre au début de l'année que puisque notre licence était forte, on serait désavantagés par le lissage. Mais du coup c'est plus d'actualité? (dis moi que oui stp) Quote
Emmals Posted February 12, 2023 Posted February 12, 2023 @lili08 dans tous les cas je pense que malheureusement il existe aucune méthode qui permette de départager de manière absolument égalitaire des filières qui n’ont rien avoir ( comment comparer un étudiant en licence de droit et un étudiant en licence de chimie ? )y’a tellement de paramètres qui rentrent en comptent ( dont la charge de travail et les critères de notation ). La fac a donc choisi cette méthode pour départager après je pense que même si c’était une autre méthode y’aurait des choses qui n’iraient pas . Le but étant d’avoir les meilleurs résultats possibles pour avoir le + de chance d’avoir une place en MMOPK . Quote
Ancien du Bureau Dr_Zaius Posted February 12, 2023 Ancien du Bureau Posted February 12, 2023 (edited) Coucou @Inactif , En effet toutes les infos qu'on a sur le site de la fac de médecine sont : la mention du mot "harmonisation" concernant les moyennes des étudiants. Ainsi que la méthode des centiles pour le classement CF Règles d'accès MMOPK -> LAS2/3 En effet l'harmonisation que je décris c'est la même que celle utilisée en pass pour les mineures. Parcontre il est impossible pour moi de faire les deux ça n'a aucun sens. Pour faire gros les centiles permettent de classer les gens par leurs rang dans la licence et le lissage se base sur une moyenne commune. Je suis plutôt d'accord avec toi les centiles font plus sens. Tu trouveras le screen du doc dans ce post ou sur le site de la fac de med. il y a une heure, Inactif a dit : Merci à toi aussi ! J’espère que ça se passe bien du côté de ta licence . Yes merci beaucoup c'est gentil !!! Ca s'est bien passé mais je suis en LFlex donc j'ai 0 data sur ce qu'ils vont faire pour nous, dcp je partage ce que je sais avec vous mais c'est trop dur de me l'appliquer à moi, on a des semestres asymétriques 27ECTS/33ECTS. Bon courage il y a une heure, lili08 a dit : Dans le sens ou beaucoup de bonnes notes et de très mauvaises notes signifie qu'il y a des étudiants qui bossent beaucouuup et d'autres qui ne font pas grand chose dans la même licence, et j'avais cru comprendre que ce genre de cas de figure était plus avantagé. Oui ça veut un peu à l'inverse de ce qui nous a été dis au début de l'année je suis d'accord avec toi. La logique de l'harmonisation est la suivante : Pour les notes se situant au milieu de la distribution cela ne change pas grand chose à vrai dire c'est plus pour les cas extrêmes qu'il se passe des choses très significatives : Si l'écart type est faible, c'est à dire : tout le monde est collé sauf quelques uns en tête et en queue: les très bonnes notes vont être avantagés : ils ont réussi à être très haut dans la distribution malgré un peleton serré et sont très avantagés de s'être détachés ... les très mauvaises notes sont enfoncés : là c'est l'effet inverse dcp la dispersion étant faible on est pas "sensé" être aussi loin... Si l'écart type est grand : les très bonnes notes vont être désavantagés : ils sont plusieurs à avoir été bons donc la méthode va minimiser leur note ... les mauvaises notes vont être avantagés : beaucoup ont eu une mauvaise note, la licence est considérée comme dure ... Ce que j'écris là correspond à une réalité statistique facilement vérifiable et n'est pas mon avis dutout sur la question il y a une heure, lili08 a dit : En tant que contre exemple, je suis dans une licence avec un assez bon niveau et a peu près toutes les moyennes tournent autour de 11 à 13 et on nous avait fait comprendre au début de l'année que puisque notre licence était forte, on serait désavantagés par le lissage. Mais du coup c'est plus d'actualité? Pour le coup s'il y a une harmonisation tu te retrouve dans le cas 1) avec un écart type faible et ton lissage est favorable si tu t'es plutôt en haut du classement et défavorable si t'es en bas... C'est ce qu'on a vu avec les licences maths l'an dernier je crois ! Bon courage en tout cas Edited February 12, 2023 by Dr_Zaius Cassolnousmanque2 and Maepicondyle 2 Quote
Ancien du Bureau Vaiana Posted February 13, 2023 Ancien du Bureau Posted February 13, 2023 Il y a 16 heures, Dr_Zaius a dit : Parcontre il est impossible pour moi de faire les deux ça n'a aucun sens. Pour faire gros les centiles permettent de classer les gens par leurs rang dans la licence et le lissage se base sur une moyenne commune. Hello, la faculté a dit que concernant les LAS2, le classement se basera sur la méthode des centiles. Je suis d'accord sur le fait qu'on puisse difficilement faire un mixte entre les deux méthodes de lissage. Nous, l'an dernier, ce qui avait été annoncé était la méthode des centiles mais au final nos moyennes avaient été lissées puis on a été classées en fonction de nos notes finales... Donc à voir quelle méthode sera finalement utilisée.... Bisous ;) Dr_Zaius 1 Quote
Jonathan Posted February 14, 2023 Posted February 14, 2023 (edited) Le 12/02/2023 à 18:34, Dr_Zaius a dit : les centiles font plus sens il me semble au contraire qu'une méthode basée sur un ajustement inter-licence de moyenne et d'écart type est plus juste, car elle conserve une information quantitative d'écart entre chaque étudiant d'une même licence, information supprimée par la méthode des centiles. le problème commun aux deux méthodes est l'absence d'information objective entre licences. Mais il faudrait ajuster les moyennes et écarts types de manière à viser une équité de chance inter LAS, et qu'au moins les indicateurs les plus macroscopiques n'affichent pas un biais statistique aussi prononcé que celui des GA de l'année dernière: Non SdV: 37 GA / 74 candidats recevables = 50% UT3 SdV: 17 GA / 85 candidats recevables = 20% Edited February 14, 2023 by Jonathan Dr_Zaius and Maepicondyle 1 1 Quote
Ancien du Bureau Dr_Zaius Posted February 14, 2023 Ancien du Bureau Posted February 14, 2023 (edited) il y a 34 minutes, Jonathan a dit : le problème commun aux deux méthodes est l'absence d'information objective entre licences. Je suis d'accord et pas d'accord, la meilleure façon de se tromper c'est d'introduire une pondération variable. Ça n'est pas juste par essence puisque on choisirai arbitrairement de favoriser une licence X par rapport à une Y. Petit conseil @Jonathan , chaque Las pense que sa licence est la plus dure , je ne pense pas que le forum soit un endroit où on vienne débattre de la "qualité" des étudiants. il y a 34 minutes, Jonathan a dit : Non SdV: 37/74 = 50% UT3 SdV: 17/85 = 20% En parlant de qualité, cet indicateur n'est vraiment pas le bon selon moi. Si tu ne croise pas cette info avec le nombre de personnes inscrites dans les autres licences ça n'a pas de sens ... Ne t'y méprend pas je ne suis pas en train de dire que SdV est une licence ou une Las facile ! Tout les chiffres que tu donne étaient disponibles au moment du choix des LAS2, chacun a choisi la sienne en conséquence (oui on peut changer de LAS2 après PASS il faut passer par e-candidat) et c'est la résultante d'une stratégie qui doit être personnelle selon moi. Ajuster les écart-types sur la base d'une notion de qualité est problématique, que fais-tu des Las qui ne sont pas dans des licences "qualitatives" ? Bon courage, les temps sont rudes, les infos rares, le stress omniprésent, mais l'issue est belle croyons au moins à ça Edit : (par rapport à ce message car je reçois des messages, je le redis SdV est objectivement dur je ne le remet pas en question, j'explique les différentes méthodes et leur limites respectives, je suis ok pour débattre sur les méthodes mathématiques, pas pour qu'on vienne m'expliquer que ma licence est simple alors que je suis en train de m'arracher les cheveux sur du code Assembleur ARM et des types abstraits de données ... bref bon courage à tout le monde plus que la moitié ) Edited February 14, 2023 by Dr_Zaius Quote
Jonathan Posted February 14, 2023 Posted February 14, 2023 (edited) Donc justement, ne faut-il pas faire en sorte que le taux moyen de réussite des SdV et non-SdV soient les mêmes ? Edited February 14, 2023 by Jonathan Marief9 1 Quote
Ancien du Bureau Dr_Zaius Posted February 14, 2023 Ancien du Bureau Posted February 14, 2023 il y a 2 minutes, Jonathan a dit : Donc justement, ne faut-il pas faire en sorte que le taux moyen de réussite des SdV et non-SdV soient les mêmes ? Il faut que le taux de passage soit le même pour chaque licence. Mais attention quand tu dis SdV et non-SdV tu rassemble 3 Las vs tout le reste des Las. Je comprends pourquoi tu fais ça sur le plan de l'effectif mais il faut détailler... Après pour répondre à ta question ma réponse est OUI absolument, et je t'encourage à simuler avec les différentes méthodes que j'ai détaillé au dessus pour comprendre les avantages et limites de chacunes, mais l'idée que tu avançais d'ajuster l'écart-type et la moyenne en fonction de la qualité de la licence je continue de trouver ça problématique. Quote
Jonathan Posted February 14, 2023 Posted February 14, 2023 à l’instant, Dr_Zaius a dit : tu rassemble 3 Las vs tout le reste des Las pour disposer de populations numériquement comparables et statistiquement significatives (c'est bien le nombre de candidats recevables le critère, pas le nombre de LAS) je propose un mix entre moyenner les populations de tous les L2 LAS/nonLAS et moyenner seulement les LAS, parce que dans certaines licences les LAS ne sont pas assez nombreux. En les regroupant nonSdV/SdV, on obtient des populations suffisantes, et on cible le biais statistique le plus flagrant. Quote
Ancien du Bureau Dr_Zaius Posted February 14, 2023 Ancien du Bureau Posted February 14, 2023 il y a 25 minutes, Jonathan a dit : je propose un mix entre moyenner les populations de tous les L2 LAS/nonLAS et moyenner seulement les LAS, parce que dans certaines licences les LAS ne sont pas assez nombreux. En les regroupant nonSdV/SdV, on obtient des populations suffisantes, et on cible le biais statistique le plus flagrant. En vrai pourquoi pas ça me semble une bonne idée ! Parcontre il faut pas résonner en effectif brut, à moins que tu sois sûr qu'il y ait exactement le même nombre de LAS en SdV que dans toutes les autres licences réunies Quote
Jonathan Posted February 14, 2023 Posted February 14, 2023 on en est pas à tenter l'exact, mais éviter l'absurde Quote
Ancien du Bureau Dr_Zaius Posted February 14, 2023 Ancien du Bureau Posted February 14, 2023 à l’instant, Jonathan a dit : on en est pas à tenter l'exact, mais éviter l'absurde C'est intéressant et je me demande si au final c'est pas ce qu'ils prévoient de faire car c'est la seule manière possible pour imaginer qu'il puisse y avoir un lissage puis des centiles. Quote
Recommended Posts
Join the conversation
You can post now and register later. If you have an account, sign in now to post with your account.
Note: Your post will require moderator approval before it will be visible.