Jump to content

Question chimie orga


Go to solution Solved by Manonbril,

Recommended Posts

Posted

Bonjour en faisant des qcms j’ai eu 2 pb jryf.jpeg

(correction ABE )

pk la D est fausse on a pas un carbone (ici le 2) qui reste R ou S entre B et B’ et l’autre (c3) qui change donc R et S au final on a RS et RR | SR et SS donc des diastereoisomeres dans les 2 cas ? 
 

et ensuite comment savoir qu’on est en Sn1 et pas 2 ici (correction ABD ) qr9f.jpeg

 

merci d’avance ! 

  • Solution
Posted

Salut @Evanninho !

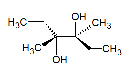
Alors pour ta première question, en fait ici tes composés B et B' ils n'auront qu'un seul carbone asymétrique car le C2 est lié à 2 méthyl donc il n'est pas asymétrique, ainsi tu n'as que le C3 qui est asymétrique et qui peut être à la fois R ou S étant donné que c'est une réaction non stéréospécifique, donc au final tu obtiens bien 2 énantiomères 3R ou 3S.

Ta molécule B et B' elle est comme ceci :image.png.ec6160dc16f7c7dd86143c8b844cd407.png

 

Pour ta deuxième question, en fait là vu que tu as un carbocation II ce qui doit te faire savoir si c'est une SN1 ou une SN2 c'est que dans les produits on te dit que tu as le composé C optiquement actif. Donc si tu obtiens un composé optiquement actif c'est que ce n'est pas un mélange racémique donc ça ne peut pas être une SN1 car si c'était une SN1 tu aurais eu un composé C qui aurait pu être R ou S donc optiquement inactif.

Donc ici c'est bien une SN2, donc la vitesse de la réaction de formation de C dépend bien de la concentration des 2 réactions A et B, et ton composé C sera de configuration R car tu as le phénomène d'inversion de Walden puisque le groupement arrivant (CH3-CH2-O-) et le groupement partant (Cl-) sont prioritaires.

 

Voilà j'espère que ça aura répondu à tes questions, si jamais n'hésite pas !

Posted

Merci pour ta réponse et oui enfzite je m’étais pas rendu compte qu’il n’y avait qu’1 C* mais tu as raison effectivement et meme pour le sn2 j’suis con je pensais qu’il y avait une règle lorsqu’on avait un acolate de sodium dc j’avais pas remarqué le produit mais merci en tous c’était grv claire ! 

Posted

Juste dsl de te re déranger @Manonbril j’ai une dernière question sur cet exo (correction :AC) 

ibtr.jpeg

la D dans la correction il dise que le composé est meso mais c’est aussi un mélange racémique non ? Fin quand on a un composé à 2c* et pas 3 j’arrive pas à savoir ce que va donner la molécule si elle est meso on aura plus que 1 c* c’est ça ? 

Posted

Re, désolé je ne pouvais pas te répondre avant !

 

Alors en fait il faut bien différencier composé méso et mélange racémique, le mélange racémique composé méso.

Un mélange racémique c'est un mélange en proportions égales de 2 énantiomères, qui est donc inactif sur la lumière polarisée par compensation INTERmoléculaire.

Un composé méso c'est un composé qui a un plan de symétrie, tu as le composé RS=SR donc ce n'est pas un mélange car c'est la même molécule, qui est inactive sur la lumière polarisée par compensation INTRAmoléculaire.

Donc là ton composé méso il aura bien 2 C* ça ça ne change pas mais il sera achiral car il a un plan de symétrie.

 

C'est bon pour toi?

Posted (edited)

@Manonbril oui oui je sais les déf des 2 thermes mdrr mais ce que je comprend pas c'est pk ici on pas dire qu'il est à la fois méso et un mélange racémique ? est ce que c'est parce que le méso fait que les 2C* de base vont s'annuler du fait de symétrie lorsque on va mettre la soude est donc on aura 0c* ? car pour moi enfaite le méso enlever 1 seul C* donc on garde toujours 1c* sur les 2 de base et donc on pourrait avoir un mélange racémique puisque on est en ordre 1 et à la fois un composé méso car même composé et RS donc mon hypothèse est fausse et un méso = 0C* si il y a que 2 carbonne ? 

Edited by Evanninho
Posted (edited)

Non ici le méso n'annule pas de C*, tu as toujours tes 2C*, regarde je t'ai mis dessous la molécule A et la molécule B après époxydation et hydrolyse, tu as bien tes 2C* car chaque C est lié à 4 substituants différents. Après je vois ce que tu veux dire, quand tu as une molécule à 3C* de base, en effet lorsque tu as un composé méso avec un plan de symétrie tu "perds" un C* car le C du milieu n'est plus lié à 4 groupements différents, mais ce n'est pas le cas quand tu as 2C* comme ici.

 

image.png.13422113c2e39ef27f535af3bd792a38.png    --->   image.png.d83f258a87c97f1042f3f79cdd33e79a.png

 

Du coup ici tu as toujours tes 2C* mais avec un plan de symétrie donc ta molécule devient achirale mais ce n'est pas un mélange racémique car qu'elle soit RS ou SR c'est la même molécule.

 

Dis moi si c'est clair @Evanninhoou si y a d'autres points que tu veux que je te précise !

Edited by Manonbril
Posted

Alors j’ai un peu de mal avec ça 

Il y a 1 heure, Manonbril a dit :

qu'elle soit RS ou SR c'est la même molécule.

Mais sinon le reste j’crois j’ai capté en gros un meso rend la molécule achirale et donc si elle pas chirale elle ne peux avoir de config R ou S c’est ça ? 

Posted
il y a 40 minutes, Evanninho a dit :

Alors j’ai un peu de mal avec ça 

Mais sinon le reste j’crois j’ai capté en gros un meso rend la molécule achirale et donc si elle pas chirale elle ne peux avoir de config R ou S c’est ça ? 

sisi elle est R/S mais optiquement inactive (=achirale) faut distinguer la config absolue des C* de l'activité optique (mais @Manonbril expliquera ça bien mieux que moi je pense)

Posted (edited)

Alors en gros si tu dessines la molécule en Fischer tu as ça, à gauche la molécule est SR et à droite elle est RS, mais tu vois que si tu fais une rotation de 180° de la molécule gauche tu retombes sur celle de droite, donc ça montre que le composé SR est identique au RS donc SR=RS.

image.png.cf357477c2aadfb71530c1edb40d27fd.png

 

il y a 43 minutes, Evanninho a dit :

Mais sinon le reste j’crois j’ai capté en gros un meso rend la molécule achirale et donc si elle pas chirale elle ne peux avoir de config R ou S c’est ça ? 

Pour le début de ta phrase c'est vrai, un méso rend la molécule achirale mais ce n'est pas pour autant qu'elle n'a pas de configuration R ou S, elle a toujours ses C* donc elle a bien une configuration R/S mais c'est le plan de symétrie à l'intérieur de la molécule qui rend la molécule achirale donc optiquement inactive.

 

Je sais pas si c'est mieux ou pas trop?

Edited by Manonbril
Posted
il y a 15 minutes, Manonbril a dit :

Alors en gros si tu dessines la molécule en Fischer tu as ça, à gauche la molécule est SR et à droite elle est RS, mais tu vois que si tu fais une rotation de 180° de la molécule gauche tu retombes sur celle de droite, donc ça montre que le composé SR est identique au RS donc SR=RS.

image.png.cf357477c2aadfb71530c1edb40d27fd.png

 

Pour le début de ta phrase c'est vrai, un méso rend la molécule achirale mais ce n'est pas pour autant qu'elle n'a pas de configuration R ou S, elle a toujours ses C* donc elle a bien une configuration R/S mais c'est le plan de symétrie à l'intérieur de la molécule qui rend la molécule achirale donc optiquement inactive.

 

Je sais pas si c'est mieux ou pas trop?

moi en tout cas j'ai compris ct bien expliqué je trouve

Join the conversation

You can post now and register later. If you have an account, sign in now to post with your account.
Note: Your post will require moderator approval before it will be visible.

Guest
Reply to this topic...

×   Pasted as rich text.   Paste as plain text instead

  Only 75 emoji are allowed.

×   Your link has been automatically embedded.   Display as a link instead

×   Your previous content has been restored.   Clear editor

×   You cannot paste images directly. Upload or insert images from URL.

  • Recently Browsing   0 members

    • No registered users viewing this page.
×
×
  • Create New...