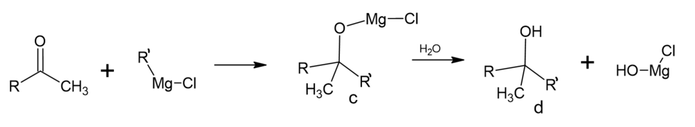
Wiwii Posted February 4, 2023 Posted February 4, 2023 (edited) Bonjour , svp quels sont les produits obtenus en c et d ?? et quel est le mécanisme du R'MgCl ?? merci :) Edited February 24, 2023 by Wiwii Quote
Solution Pucca Posted February 4, 2023 Solution Posted February 4, 2023 Bonjour @Wiwii, Je pense que ce sont ces produits qui sont obtenus : Je t'avoue que je ne suis pas sûre que ce soit bien ce mécanisme avec R'MgCl, en tout cas c'est ce qui me semble le plus logique, mais ne te prends pas trop la tête avec ça je ne pense pas qu'on te donnera ce genre de molécule à l'examen. Wiwii, Fabulo and Insolence 3 Quote
Insolence Posted February 4, 2023 Posted February 4, 2023 Coucou @Wiwii! Normalement vous n'êtes pas sensé avoir vu ce genre de réaction en cours. Après quelques recherches je pense qu'il s'agit d'une réaction de Grignard qui donnerait : Mais je veux bien la confirmation de @Au-ccipital ou de @Fabulo. Est ce que tu pourrais me dire d'où vient ce QCM ? Pucca and Fabulo 2 Quote
Pucca Posted February 4, 2023 Posted February 4, 2023 il y a 1 minute, Insolovance a dit : Est ce que tu pourrais me dire d'où vient ce QCM ? C'est le QCM 33 du poly du TAT mais comme toi je pense que ce n'est pas une réaction vue en cours Quote
Insolence Posted February 4, 2023 Posted February 4, 2023 à l’instant, Pucca a dit : C'est le QCM 33 du poly du TAT mais comme toi je pense que ce n'est pas une réaction vue en cours Faut que j'apprennes à lire les titres des post Pucca and Fabulo 1 1 Quote
Ancien Responsable Matière Fabulo Posted February 5, 2023 Ancien Responsable Matière Posted February 5, 2023 Il y a 13 heures, Insolovance a dit : Normalement vous n'êtes pas sensé avoir vu ce genre de réaction en cours. En effet, cette réaction ne me dit rien dutout, elle n’est pas à connaitre ! Pucca and Insolence 1 1 Quote
Recommended Posts
Join the conversation
You can post now and register later. If you have an account, sign in now to post with your account.
Note: Your post will require moderator approval before it will be visible.