Jump to content

réactions fonctions


Go to solution Solved by Insolence,

Recommended Posts

Posted (edited)

saluut j'aurai besoin d'aide pour le QCM 12

pour le 12 je comprends pas ce que j'obtiens en C, pour moi je devrais avoir un ether oxyde puisque c'est une réaction de désyhdratation intermoléculaire sur un alcool mais je comprends pas comment je pourrais avoir des stéréoisomères ou isomères 

mercii

 

+ j'aurais une autre question a propos des beta aldol, quand on a un beta aldol on a une fonction aldéhyde en beta par rapport a l'alcool et donc inversement, mais du coup si j'ai aldolisation de 2 propanal comment ils peuvent être en béta ? je sais pas si c'est clair, mais en gros pour moi "béta" ça veut dire que y a UN groupement CH3 (par exemple) qui sépare mes 2 fonction mais du coup dans ce cas la je comprends pas comment je peux avoir du béta puisque j'ai du PROPANal soit

CH3-CH2-CH=O + CH3-CH2-CH=O -> CH3-CH2-CH(-OH)-CH2-CH2-CH=O 

Edited by agent_P
  • Solution
Posted

Coucou @agent_P!

Il y a 6 heures, agent_P a dit :

pour le 12 je comprends pas ce que j'obtiens en C, pour moi je devrais avoir un ether oxyde puisque c'est une réaction de désyhdratation intermoléculaire sur un alcool mais je comprends pas comment je pourrais avoir des stéréoisomères ou isomères 

Tu pars d'un alcool primaire que tu chauffes à 170 °C = alcène (but-1-ène

Tu hydrates A = un mélange racémique B ((2S/R)-butan-2-ol)

Tu chauffes B à 100/120 °C = mélange d'étheroxydes avec 3 stéréoisomères (RR RS SS). En effet ton etheroxyde à 2 centres chiraux :

image.png.87023b424db541ccd2634ffc46a84583.png

 

Il y a 6 heures, agent_P a dit :

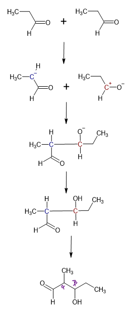
mais du coup si j'ai aldolisation de 2 propanal comment ils peuvent être en béta ?

Je t'ai refait la réaction normalement ça donne ça :

image.png.025efe6c092e4287faceb6814e301676.png

 

C'est plus clair ?

Join the conversation

You can post now and register later. If you have an account, sign in now to post with your account.
Note: Your post will require moderator approval before it will be visible.

Guest
Reply to this topic...

×   Pasted as rich text.   Paste as plain text instead

  Only 75 emoji are allowed.

×   Your link has been automatically embedded.   Display as a link instead

×   Your previous content has been restored.   Clear editor

×   You cannot paste images directly. Upload or insert images from URL.

  • Recently Browsing   0 members

    • No registered users viewing this page.
×
×
  • Create New...