Jump to content

Qcm 12


Go to solution Solved by Insolence,

Recommended Posts

Posted
il y a 11 minutes, halopéridol a dit :

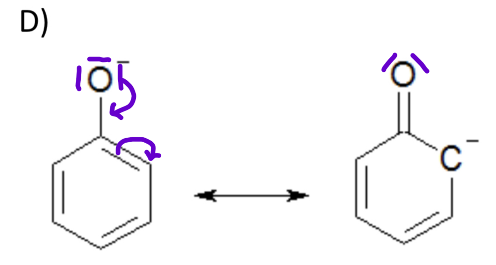
Hey j’arrive pas à comprendre comment on passe d’une forme à l’autre dans cet exemple 

https://zupimages.net/viewer.php?id=23/05/cgpm.jpeg
merci beaucoup pour l’aide ☺️

 

En gros, si je dis pas de bêtises, t'as l'électron de ta charge - de l'oxygène qui va s'additionner avec un des électrons de la double liaison qui "disparaît" à droite et dans l'autre sens c'est l'inverse, l'électron de ton carbanion va "fusionner" avec un des électrons de la double liaison C=O pour redonner la double liaison dans le cycle

 

Je sais pas si c'est très clair mais ça manque de quelques informations dont je ne suis a sûr, je préfère ne pas te dire de bêtises 

Join the conversation

You can post now and register later. If you have an account, sign in now to post with your account.
Note: Your post will require moderator approval before it will be visible.

Guest
Reply to this topic...

×   Pasted as rich text.   Paste as plain text instead

  Only 75 emoji are allowed.

×   Your link has been automatically embedded.   Display as a link instead

×   Your previous content has been restored.   Clear editor

×   You cannot paste images directly. Upload or insert images from URL.

  • Recently Browsing   0 members

    • No registered users viewing this page.
×
×
  • Create New...