Jump to content

Insaturation des lipides - Oxydation


Go to solution Solved by lucide,

Recommended Posts

Posted

Bonjour à tous !

 

Je voulais savoir quelque chose quant à une réaction chimique. Voilà, dans mon cours sur les propriétés physico-chimiques des lipides, il est fait état d'une réaction d'oxydation réalisée par des peracides à 50°C et conduisant à la formation d'epoxydes. La professeur parle ensuite d'oxydant fort indiquant pour exemple les permanganates de potassium aboutissant à des diacides. Enfin, elle indique que le fait de cuire, recuire et encore recuire des composés lipidiques polyinsaturés pouvait aboutir à la formation d'éléments cycliques dangereux pour la santé.

 

Bref, cette explication est, je trouve, assez vague et n'est d'ailleurs pas du tout contextualisée (n'ayant jamais entendu parler de peracides, d'epoxydes, etc...)... Si quelqu'un pouvait m'éclairer sur ces réactions d'oxydation (liées à l'insaturation des lipides), je lui en serait immensément reconnaissant !

 

Merci beaucoup d'avance !

  • Solution
Posted (edited)

Salut @Archagatos,

Je ne comprend pas trop de quelle partie du cours tu parles, tu pourrai être plus précis sur les diapos concernées ?

sinon pour ce qui est des peracide, se sont des molécules comportant un groupement peroxyde comme celui ci:

Screenshot_20230129-000032__01.thumb.jpg.28a599a6d3466767259744eb3333f6f7.jpg

Et ce groupement réagit avec des molécules comportant des doubles liaisons de façon à former des cycles:

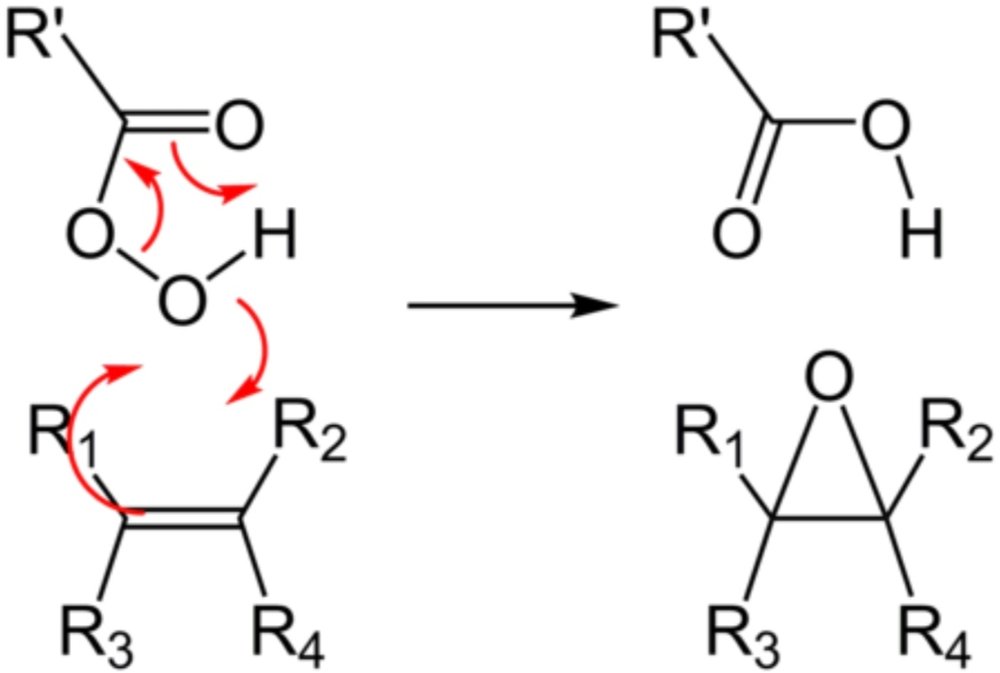
Screenshot_20230128-235932__01.thumb.jpg.b8566b7d63010a310399c19bd22a37e0.jpg

 

La molécule en haut à gauche représentant le peracide, la molécules en bas a gauche un acide gras insaturé, en bas a droite un époxyde. Je suppose que cette réaction ne doit pas se produire a dans le corps humain, je ne sais pas trop pourquoi elle en parle d'ailleurs 😅

 

Pour ce qui est de la réaction des lipides avec un oxydant fort c'est ce qu'il se passe pour du beurre qui a rancit par exemple. J'ai trouvé ce passage dans les polys des PASS qui explique la réaction :

Screenshot_20230129-002333__01.thumb.jpg.152c2747c77615d01056cfd507095466.jpg

C'est une réaction de fixation d'oxygène ou peroxydation. 

 

Pour ce qui est de la cyclisation lors de la cuissons des lipides je ne me souvient pas en avoir parlé avec la professeur Sixou, je ne vois aucune diapo ou c'est mentionné et je trouve très peu d'information à ce sujet.

 

Ce qu'il faut retenir, et encore cela vient du cours de PASS a propos des propriété chimiques des acides gras insaturés c'est cela : 

Screenshot_20230129-002333.thumb.jpg.5d600a22b3f044b00d0f98ad0c8ebbff.jpg

 

J'espère que cela t'éclaire un peu, si tu a d'autres questions n'hésite pas, je ferai mon maximum pour y répondre 😊

Désolé pour cette réponse un peu tardive et bonne chance pour la suite.

Edited by lucide
Posted

Merci beaucoup pour cette réponse et pas de souci, elle n'était pas du tout tardive, bien au contraire ! Malheureusement, je crois que nous les marseillais, ne partageons pas cette partie de cours avec vous, les toulousains, c'est pour ça que tu n'as pas trouvé la diapositives en question.

Posted

Alors ne prend pas trop en compte ce que je t'ai dis, enfin la dernière partie sur ce qu'il y a savoir sur les acides gras insaturés, je ne sais pas si tu sais mais les QCMs sont écrits par vos propres professeurs donc ça c'est ce que les professeurs de Toulouse demande d'apprendre aux étudiants Toulousains, peut être que les tiens auront donné d'autres explications et des données différentes a apprendre, mais après si ça peut t'aider à comprendre c'est le but 😉.

 

Join the conversation

You can post now and register later. If you have an account, sign in now to post with your account.
Note: Your post will require moderator approval before it will be visible.

Guest
Reply to this topic...

×   Pasted as rich text.   Paste as plain text instead

  Only 75 emoji are allowed.

×   Your link has been automatically embedded.   Display as a link instead

×   Your previous content has been restored.   Clear editor

×   You cannot paste images directly. Upload or insert images from URL.

  • Recently Browsing   0 members

    • No registered users viewing this page.
×
×
  • Create New...