Jump to content

truc que je comprend toujours pas en orga


Go to solution Solved by Insolence,

Recommended Posts

Posted

bonjour il y a des notions qui me bloque dans les exos et j'aurais besoin de vous pour m'aider à plus faire ces erreurs : 

 

1)d'abord j'ai un pb avec les stéréosiomères en fonction des réactions car de se que j'ai compris ca donne ca :

-addition stéréospécifique = 1 seul stéréoisomère (érythro ou thréo)

-addition non stéréospécifique = mélange racémique 

-SN1 = mélange racémique 

-SN2 = 1 stéréoisomère 

-E1= Z et E 

-E2 = 1 isomère géométrique 

(dites moi si je me suis trompé svp car à priorit c'est pas vrmnt ca) 

 

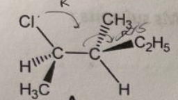
2)alors j'avais ce pb au S1 mais j'ai tjs pas compris lorsque on a ce genre de molécule je me met dans l'axe du C et 4e constituant mais par exemple le C2H5 se place en haut et le CH3 sur le cote et on obtient un  2R 3S ? 

cokl.png

 

3) comment arriver a déterminer si la molécule va être Z ou E sachant qu'on est en E2 (correction BCE)

05tl.png

 

merci d'avance à l'incroyable personne qui arrivera à m'expliquer ces 3 notions qui n'arrivent pas à rentrer dans mon crane !!!

Posted

Coucou @Evanninho!

 

Pour ta première interrogation ce que tu proposes me semble juste. Est ce que tu as des exemples de questions qui t'ont fait douter ?

 

Le 27/01/2023 à 11:03, Evanninho a dit :

2)alors j'avais ce pb au S1 mais j'ai tjs pas compris lorsque on a ce genre de molécule je me met dans l'axe du C et 4e constituant mais par exemple le C2H5 se place en haut et le CH3 sur le cote et on obtient un  2R 3S ? 

image.png.c605837334a3661195147f3198e9cf6d.png

En fait, pour le 2eme C, c'est plus CH3 est derrière, C2H5 est devant et H est dans le plan (comme la liaison au carbone 1). Je sais pas trop si ça va t'aider donc n'hésites pas si tu as besoin de plus d'explications à ce niveau là.

 

Le 27/01/2023 à 11:03, Evanninho a dit :

3) comment arriver a déterminer si la molécule va être Z ou E sachant qu'on est en E2

Si on prend la molécule de l'énoncé :

image.png.31eb2eb1516927dba06e21e990df06fc.png

l'E2 peut avoir lieu entre :

- l'hydrogène du carbone 3 et le Cl. On obtiendra alors le produit majoritaire (cf la règle de Zaïtsev), A, qui est de type Z.

image.png.a1a3e39b42064eb8223b0e1d1dda9fdb.png

- l'hydrogène du carbone 1 et le Cl. On obtiendra alors le produit minoritaire, B qui ne comporte pas d'isomérie géométrique.

image.png.dda21c546fd38c209ea52f79a5869628.png

 

Si il y a toujours des choses que tu ne comprends pas n'hésite pas à demander :)

Posted

merci @Insolence mais dc j'ai pas tout compris (vrai pb avec ces 3 notions dsl) :

1) je t'ai mis 3 exemples :

le 17 (correction ACD)

7iem.png

 

correction AC 

 d5rr.png

 

correction ADE

umb9.png 

 

2)

 

Il y a 17 heures, Insolence a dit :

En fait, pour le 2eme C, c'est plus CH3 est derrière, C2H5 est devant et H est dans le plan

mais dans le plan ca veut dire qu'on trace un plan verticale ou horizontale déjà ? ensuite toi sur le schéma t'a l'air de t'en battre les couilles que le H soit dans le plan ou non et tu trace juste en fonction de l'ordre comme dans un rpz normale  et oui si tu peux dvp ca m'aiderai pas mal stp 

 

3)oui c'est pas avec la majoritaire ou minoritaire que j'avais un pb c'est comment être sur que sa molécule lorsqu'on la dessine est bien une Z car moi ce que je fait c'est que je part des 2C* je met le Cl dans le plan (car il va s'éliminer et le plan = la future db liasion) et je vois en fonction de S ou R et je met les 2 constituants qui me reste en dv ou en derrière (la avec le 2R j'ai mis le CH3 dv et H dr) et aprs je fait pareil avec l'autre mais est ce que c'est comme ca qu'on doit faire ? 

  • Solution
Posted

Re @Evanninho!

 

1) Pour le premier QCM :

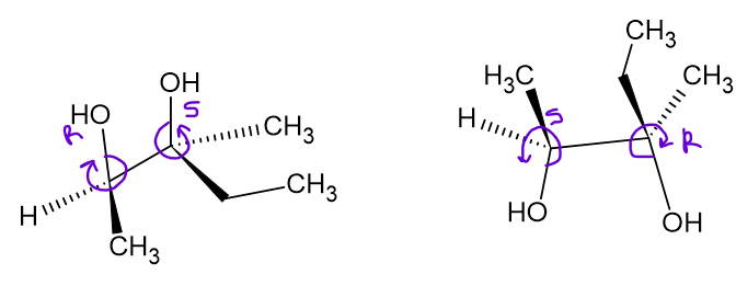
Dans l'énoncé il est question de l'action du permanganate de potassium dilué à froid sur l'alcène A. La réaction qui a lieu est donc une hydroxylation. Il s'agit d'une cis addition donc d'une réaction stéréospécifique. Les alcools vont s'ajouter tous les deux soient au dessus du plan soit en dessous. On obtient les deux énantiomères suivants :

image.png.2a7c7550476ce332a28d1c61f765daa4.png

Donc les items A & D sont vrais mais le E est faux puisqu'on est en présence d'un mélange racémique.

Puisque les alcools s'ajoutent du même côté on obtient bien des composés erythros. Donc item C vrai.

 

Pour le deuxième QCM :

La réaction dont il est question dans cet exercice est une élimination (alcane + KOH concentrée à chaud) qui s'exerce sur la molécule suivante :

image.png.9250cee13dc1a55718486055ccfce09a.png

Les carbones sont bien substitués donc est face à un mécanisme d'ordre 1 : item A vrai.

Les produits obtenus sont :

image.png.d975f6a9f5d188ea570b2ae2333be190.png

On a plus de 3 stéréoisomères donc l'item B est faux.

Si le stéréosimère le plus stable (càd celui tout en haut à gauche) subit une époxydation puis une hydrolyse acide (trans-addition d'alcools) ça donne :

image.png.e5237ade0480819e0a22ce38aa1ecf8a.png

L'item C est donc bien vrai. Cependant les items D & E sont faux puisqu'on est dans le cas d'un composé méso, non chiral.

 

Pour le troisième QCM :

On est dans le cas de l'hydratation d'un alcène (en milieu acide). C'est bien une réaction régioselective (s/o Markovnikov) donc item A vrai. 

Les molécules formées sont :

image.png.7458bb21fea299eed011babe97060302.png

Comme B et B' ont un seul centre chiral je ne pense pas qu'on puisse utiliser les notions d'énantiomérie ou de diastéréoisomèrie donc item B faux.

On voit bien que A n'a pas de centre chiral donc item C faux.

Pour la nomenclature je pense que ça ne t'as pas posé problème :

- chaine carbonée la plus longue : 4 carbone = butan-

- un méthyl sur le carbone n°2 = -2-methyl

- un alcool sur le carbone n°2 = 2-ol

Donc = 2-methylbutan-2-ol

Item D vrai

E est bien vrai car les configurations absolues des centres chiraux de B et B' "s'annulent entre eux" : on est bien dans le cas d'un mélange racémique.

 

2) Pour les configurations absolues :

- si le trait est épais et noir : l'atome va vers toi, il est vers l'avant 

- si le trait est en pointillé : l'atome s'éloigne de toi, il est vers l'arrière 

- si le trait est fin : l'atome ne va pas vers toi mais ne s'éloigne pas de toi non plus 

Du coup pour reprendre l'exemple que tu avais utilisé, sur le 2ème carbone : 

- le CH3 va vers l'arrière

- le C2H5 va vers l'avant

- le H va vers le bas 

- le reste de la molécule va vers la gauche 

Du coup on par du reste de la molécule (1) vers le CH3 (3) en passant par le C2H5 (2). Comme le H (4) ne s'interpose pas entre le composé (1), (2) ou (3), pas besoin d'inverser le sens de rotation. 

En revanche si le H avait été à la place du C2H5 (devant quoi) on aurait du inversé par rapport au sens de rotation observé et le carbone aurait été R, pas S.

Autre technique, tu peux changer de point de vu. En gros tu fais comme si tu te mettais pile en face du H. Le CH3 passe alors en haut le C2H5 à ta gauche et le reste de la molécule reste à ta droite :

image.png.2de52f884255579a2bcba52ed274b19e.png

Je sais pas si ça t'as éclaircit, c'est un concept assez compliquer à expliquer et surtout à comprendre à l'écrit :(  je te conseille de bien t'entraîner.

 

Il y a 2 heures, Evanninho a dit :

oui c'est pas avec la majoritaire ou minoritaire que j'avais un pb c'est comment être sur que sa molécule lorsqu'on la dessine est bien une Z car moi ce que je fait c'est que je part des 2C* je met le Cl dans le plan (car il va s'éliminer et le plan = la future db liasion) et je vois en fonction de S ou R et je met les 2 constituants qui me reste en dv ou en derrière (la avec le 2R j'ai mis le CH3 dv et H dr) et aprs je fait pareil avec l'autre mais est ce que c'est comme ca qu'on doit faire ? 

C'est bien comme ça qu'il faut que tu fasses. Je te conseille de mettre les composants qui partent dans le plan directement comme ça tu tombe directe sur un alcène bien plan.

 

 

Join the conversation

You can post now and register later. If you have an account, sign in now to post with your account.
Note: Your post will require moderator approval before it will be visible.

Guest
Reply to this topic...

×   Pasted as rich text.   Paste as plain text instead

  Only 75 emoji are allowed.

×   Your link has been automatically embedded.   Display as a link instead

×   Your previous content has been restored.   Clear editor

×   You cannot paste images directly. Upload or insert images from URL.

  • Recently Browsing   0 members

    • No registered users viewing this page.
×
×
  • Create New...