JenesaisPASS Posted January 15, 2023 Posted January 15, 2023 salut svp je comprends pas prq cette partie en rose est juste, je ne parviens pas a retrouver legalite, pourriez vous maider? je vous remercie davance pr laide https://zupimages.net/viewer.php?id=23/02/vqy6.png Quote
Ancien Responsable Matière Solution Lulu_le_Fou Posted January 15, 2023 Ancien Responsable Matière Solution Posted January 15, 2023 il y a 31 minutes, popcorn a dit : vp je comprends pas prq cette partie en rose est juste, je non mais elle pas juste tout simplement contre exemple : si angle = pi /2 e2 i pi /2 ⁼ ei x pi = cos (pi) + i sin (pi) = - 1 e- 2 i pi /2 ⁼ e- i x pi = cos (- pi) + i sin (- pi) = - 1 donc - 1 - 1 / 2 = -2/2 = - 1 et ça c'est pas égal à 1 CQFD JenesaisPASS and Insolence 1 1 Quote
Ancien Responsable Matière Lulu_le_Fou Posted January 15, 2023 Ancien Responsable Matière Posted January 15, 2023 @Insolence Je suis pas d'accord avec toi sur cette étape : parce que y'a un problème avec ton moins, parce que sinon c'est pas égal distribuant le moins, à vérifier je crois ton signe moins devant devrait disparaitre car deux moins s'annulent, bref je sais pas si je vois ce que tu veux dire après je me trompe peut être Quote
Ancien Responsable Matière Lulu_le_Fou Posted January 15, 2023 Ancien Responsable Matière Posted January 15, 2023 il y a 1 minute, Insolence a dit : Tu vois toujours une erreur ? oui ducoup faut simplifier les deux - 1 en haut et en bas et il y reste encore le signe - à la fin devant la fraction Quote
Insolence Posted January 15, 2023 Posted January 15, 2023 (edited) il y a 2 minutes, Lulu_le_fou a dit : il y reste encore le signe - à la fin devant la fraction C'est bon j'ai compris mdrr Edited January 15, 2023 by Insolence JenesaisPASS 1 Quote
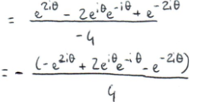
Ancien Responsable Matière Lulu_le_Fou Posted January 15, 2023 Ancien Responsable Matière Posted January 15, 2023 (edited) il y a 5 minutes, Insolence a dit : Justement c'est le but. J'ai du mal à voir ce qui te pose problème :( Regarde si on prend des chiffres simples avec ton raisonnement : en gros on va dire 3 = e2i0 - 2ei0e - i0 + e-2iO 3 / - 4 = (-1) x (-3) / (-1) x ( 4) = -3 /4 et pas comme tu as écrit - (-3) /4 Et autre chose j'ai un contre exemple qui montre que l'égalité est pas possible donc tu peux pas en finir avec le fait que ça soit vrai Edited January 15, 2023 by Lulu_le_fou Quote
JenesaisPASS Posted January 21, 2023 Author Posted January 21, 2023 Le 15/01/2023 à 15:26, Lulu_le_fou a dit : non mais elle pas juste tout simplement contre exemple : si angle = pi /2 e2 i pi /2 ⁼ ei x pi = cos (pi) + i sin (pi) = - 1 e- 2 i pi /2 ⁼ e- i x pi = cos (- pi) + i sin (- pi) = - 1 donc - 1 - 1 / 2 = -2/2 = - 1 et ça c'est pas égal à 1 CQFD alors dsl pr cette reponse en retard, jai attendu une semaine pcq jaavais passé mon week end a lire les exercices corriges du cours et javais plus de cerveau a la fin merci bcp pr ton aide constante je comprnds ! Lulu_le_Fou 1 Quote
Recommended Posts
Join the conversation
You can post now and register later. If you have an account, sign in now to post with your account.
Note: Your post will require moderator approval before it will be visible.