Jump to content

Recommended Posts

Posted

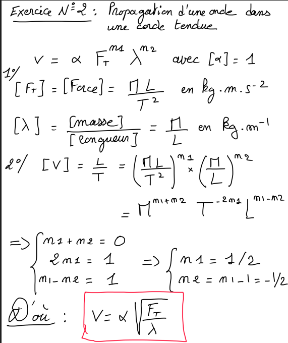
Bonjour, j'ai une question par rapport à la fin de l'exo 3, partie 2 du TD 1 d'analyse dimentionnel de la mineure mécanique 

image.png.8541198a5d78250116e0e12c220dfffa.png

 

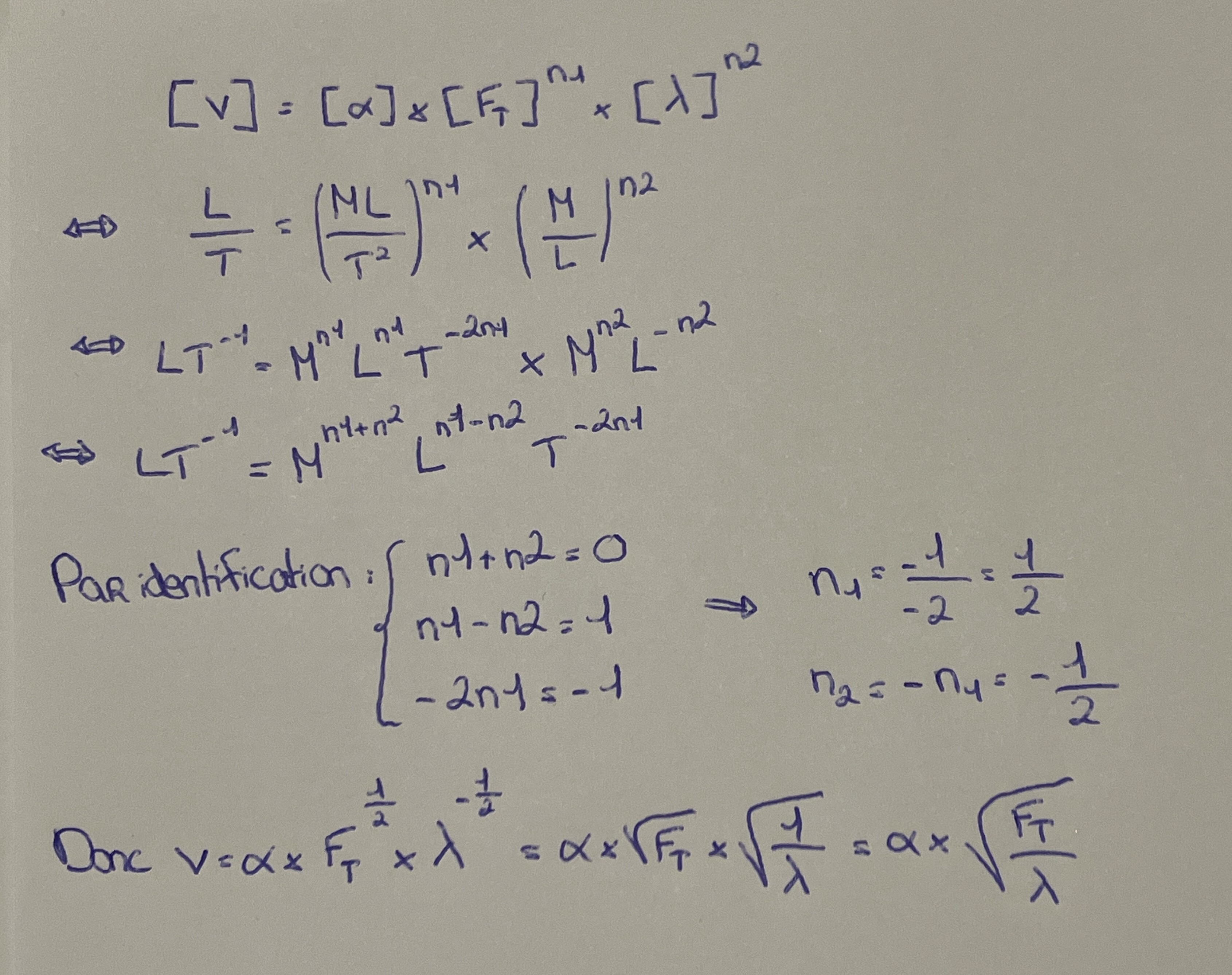
et voici la correction 

image.png.7f3c55bf771158c69b97ffd3e4dec895.png

 

Je ne comprend pas à partir du moment ou on mets : n1+n2= 0 

Et aussi comment il peut y avoir de de racine carré ?

Merci par avance

Posted (edited)

Salut !

Alors pour reprendre vite fait les premières étapes tu cherches à déterminer l'expression d'une vitesse v en fonction de Ft et λ. Tu connais la dimension de la vitesse (L/T) et tu connais aussi la dimension de Ft et λ donc tu peux écrire la relation [v]=[α]*[Ft]^n1*[λ]^n2 avec comme inconnues n1 et n2. Ensuite tu remplaces tout ça par les dimensions que tu connais et tu simplifies en rassemblant les puissance de M, de L et de T ensemble.

 

Je t'ai réécris le développement de manière un peu plus détaillé ça va peut-être t'aider à mieux comprendre.

uv4l.jpg

A partir de là d'un côté de l'équation tu as la dimension de la vitesse (LT^-1) et de l'autre tu as une expression qui dépend de n1 et n2. Par identification tu vois que si tu regardes tu côté gauche de l'équation le L il doit être à la puissance 1 donc du côté droit tu as forcément n1-n2 =1. Ensuite côté gauche t'as pas de M donc c'est comme si c'était M^0 donc du côté droit tu as n1+n2=0 et enfin même chose pour le T, tu vois qu'il est à la puissance -1 donc tu as -2n1=-1. Ensuite à partir de là tu isoles ton n1 et n2 et tu trouves que n1 = 1/2 et n2 = -1/2.

 

Enfin il faut savoir quand tu as x à la puissance 1/2 c'est comme si c'était racine de x (tu peux te dire que c'est l'inverse de x² et l'inverse du carré c'est la racine carrée) et x^-1/2 c'est l'équivalent de racine de 1/x. Donc en sachant ça tu peux écrire ton équation finale et voilà !

 

J'espère que c'est plus clair pour toi, c'est pas évident à expliquer par écrit donc hésite pas si t'as d'autres questions !

Edited by Manonbril

Join the conversation

You can post now and register later. If you have an account, sign in now to post with your account.
Note: Your post will require moderator approval before it will be visible.

Guest
Reply to this topic...

×   Pasted as rich text.   Paste as plain text instead

  Only 75 emoji are allowed.

×   Your link has been automatically embedded.   Display as a link instead

×   Your previous content has been restored.   Clear editor

×   You cannot paste images directly. Upload or insert images from URL.

  • Recently Browsing   0 members

    • No registered users viewing this page.
×
×
  • Create New...
Radio