Raiponceatout Posted January 7, 2023 Posted January 7, 2023 Bonjour, j'avais une question concernant l'ordre 0 et notamment cette formule: https://zupimages.net/viewer.php?id=23/01/qxme.png Si l'ordre k=0, est ce que ça veut dire que a.k.t vaut 0 ? Ou ça n'a rien à voir? Merci bonne journée Quote
Ancien Responsable Matière Solution cellulesouches Posted January 7, 2023 Ancien Responsable Matière Solution Posted January 7, 2023 Coucou ! Alors attention, si l'ordre de la réaction est 0, cela ne veut pas dire que k = 0. L'ordre permet de t'indiquer la dimension de k, son unité (ordre 0 = k en mol.L-1.s-1). Je sais pas si c'est clair pour toi mais voila l'ordre n'est pas égal à k ! Dans ton cours, c'est écrit "ordre global n=0 : k en mol.L-1.s-1" et pas ordre global k = 0 !!! Quote
Raiponceatout Posted January 7, 2023 Author Posted January 7, 2023 (edited) Ah oui pardon @cellulesouchesje viens de comprendre qu'en fait ce n'était pas la même chose :/ Edited January 7, 2023 by Raiponceatout Quote
Ancien Responsable Matière cellulesouches Posted January 7, 2023 Ancien Responsable Matière Posted January 7, 2023 à l’instant, Raiponceatout a dit : Ah oui pardon je viens de comprendre qu'en fait ce n'était pas la même chose :/ Oh ne t'excuse pas voyons ! c'est mieux de demander pour en être sur !! J'espère que c'est clair pour toi ! Quote
Raiponceatout Posted January 7, 2023 Author Posted January 7, 2023 Oui merci à toi :) @cellulesouches Quote
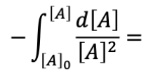
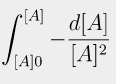
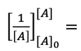
Raiponceatout Posted January 7, 2023 Author Posted January 7, 2023 Du coup j'en profite pour te poser une autre question. Je ne comprends pas bien comment on se retrouve avec 1/A et 1/A0 dans cette formule https://zupimages.net/viewer.php?id=23/01/ovab.png Merci :) Quote
Ancien Responsable Matière BrianO'Conner Posted January 7, 2023 Ancien Responsable Matière Posted January 7, 2023 @Raiponceatout c'est en calculant cette intégrale (souvenir de maths de terminale ça date) on voit que c'est la forme qui est la dérivée de donc Quote
Raiponceatout Posted January 7, 2023 Author Posted January 7, 2023 Ah oui super @Brian_OConner merci j'avais oublié ça Quote
camhile Posted January 7, 2023 Posted January 7, 2023 @cellulesouches coucou je me permet d'intervenir car je me rend compte que je sais pas comment déterminer l'ordre de la réaction... Sur quoi on doit se baser pour savoir si il est de à 0, 1 ou 2 ? des fois on a la valeur de k du coup avec les unités on peut retrouver par déduction mais c'est pas toujours le cas Quote
camhile Posted January 9, 2023 Posted January 9, 2023 coucouuu @cellulesouches je me permet de te relancer car avec tous les messages tu n'as pas du voir le mien :) c'était par rapport à l'ordre de la réaction, comment on le déterminer stp? (commentaire juste en haut si jamais) Quote
aurionisant Posted January 9, 2023 Posted January 9, 2023 Coucou @camhile, pour déterminer l'ordre de la réaction on regarde souvent comme tu as dit l'unité du k. Tu peux aussi parfois avoir des indices avec le temps de demi réaction (si il ne varie pas en en fonction de la concentration en réactif c'est ordre 1), ou je ne sais pas si vous l'avez vu avec le type de réaction (si réaction élémentaire alors l'ordre = molécularité). Si tu as un QCM où on te demande l'ordre et tu ne comprends pas comment on fait n'hésite pas à nous demander avec l'énoncé :))) Tutobise :) sucrecannelle, BrianO'Conner, synyannthrose and 1 other 3 1 Quote
synyannthrose Posted January 9, 2023 Posted January 9, 2023 coucou @camhile, comme la dis @aurionisant tu peux regarder les t1/2, les unités ou l'allure de la courbe également camhile 1 Quote
camhile Posted January 9, 2023 Posted January 9, 2023 @aurionisant @synyannthrose d'accord merciii, si un qcm me bloque je reviendrais vers vous :) synyannthrose 1 Quote
Recommended Posts
Join the conversation
You can post now and register later. If you have an account, sign in now to post with your account.
Note: Your post will require moderator approval before it will be visible.