Jump to content

annale 2021


Go to solution Solved by Amélithium,

Recommended Posts

Posted

Bonjour, 

je n'ai compris les qcms suivant : 2 ( item E ( le sens de ionisation c'est pas vers le haut à droite? dc l'inverse ) ; 5 ( tous ) ; 9 ( item D ) ; 6 ( item E ); 8 ( item E ) et 10 ( item B )

Merci d'avance ( dsl je sais y 'en a bcp )

Bonne journée

https://tutoweb.org/PDFs/Librairie/PASS/Annales Epreuves Classantes/Session 1/2021-2022/S1 - Examen Session 1 - PASS - Sujets - 2021-2022.pdf énoncé

https://tutoweb.org/PDFs/Librairie/PASS/Annales Epreuves Classantes/Session 1/2021-2022/S1 - Examen Session 1 - PASS - Corrections détaillées 2021-2022.pdf corrrection

  • Ancien du Bureau
  • Solution
Posted

Coucou @Passover 

 

  • QCM 2 item E : 

L'énergie de première ionisation augmente de bas en haut et de gauche à droite (idem que pour l'EN, mais en incluant les gaz rares en plus), comme tu dis ! 

Je te mets l'image des éléments avec le tableau périodique :

image.png

L'élément 3 est le Mg et le 4 le Cl donc le 4 a une énergie de première ionisation plus élevée que le 3. Est-ce que tu vois où tu t'es trompé ?

  • QCM 5 : 

Y'a une "rature" sur la copie du coup pas étonnant que vous galériez ... J'ai mis la bonne molécule ici : 

A. VRAI : Pour trouver l'hybridation des atomes, il faut faire la somme nb d'atomes liés à l'atome d'intérêt + nb de DNL portés par l'atome - 1 et vous trouvez comme ça l'exposant de sp. 

Donc ici si tu regardes, tous les C sont liés à 3 atomes (attention le C fait tjrs 4 liaisons donc il ne faut pas oublier les H du cycle qui ne sont pas représentés) et le C ne porte jamais de DNL donc ça fait 3 - 1 = 2 donc les C sont hybridés sp² !

Dis-moi si tu comprends pas qq chose !

 

B. FAUX : le O du C=O de l'acide carboxylique porte 2 DNL et n'est lié qu'à 1 seul atome donc il est sp² (2 + 1 - 1 = 2), les autres sont bien sp3 car ils sont liés à 2 atomes + 2 DNL.

 

C. VRAI : Le OH et le COOH sont en ortho, donc proches donc il pourra y avoir des liaisons H entre un H de la fonction et le O de l'autre fonction !

 

D. VRAI : Voilà la molécule d'acide para-hydroxybenzoïque

image.png

Le OH et le COOH sont trop loin donc tu ne pourras pas faire de liaisons H INTRAmoléculaires mais que des INTERmoléculaires, or les liaisons intermoléculaires augmentent la T° d'ébullition.

 

E. VRAI : Les O ont tous 2 DNL donc ça fait 2 x 3 = 6 DNL (aucun par les C, aucun par les H) 

 

  • QCM 6 item E : 

Je viens d'y répondre ici : 

  • QCM 8 item E :

De même : 

Dis-moi si c'est bon !

 

  • QCM 9 item D :

Tu bloques sur quoi ? Les configurations des C*, la chaîne carbonée la plus longue, les fonctions ?

  • QCM 10 item B :

Il y a des erreurs dans la correction ... Tu as les bonnes configurations dans ce post :

 

Voilà voilà ! Si tu as des questions, n'hésite pas !!!

Posted

Merci d avoir pris le temps de me répondre

 

Juste il reste des  choses que je veux bien que tu me réexpliquer stp( PS : dslll 😭), par exemple pourquoi pour la 10 B( la configuration en vert pourquoi on ne tourne pas ds l autre sens ( en commençant par le 1 la où on met l oeil...), La 9 c est tt, si ça ne te dérange pas, je veux bien que tu détailles le calcul avec 0,4=..., Ainsi que la partie sur l équilibre de charges ... De l item 6 e ( Pourquoi y a du H2O ds mno4- si y en a déjà? ), et est ce que le O a tjrs 2 dnl ou pas forcément

Encore un grand merciii

 

 

  • Ancien du Bureau
Posted

Avec plaisir @Passover !

 

Tkt pas ça me dérange pas du tout !!!

il y a 1 minute, Passover a dit :

par exemple pourquoi pour la 10 B( la configuration en vert pourquoi on ne tourne pas ds l autre sens ( en commençant par le 1 la où on met l oeil...)

Moi j'essaie tjrs de mettre l'oeil à l'opposé du n°4 comme ça on a la lecture direct et bien 1, 2 et 3 éloignés (ou alors avec le 4 devant et j'inverse) 

Pour la molécule B, je suis désolée je viens de voir que j'ai mis l'oeil à côté de où j'ai écrit et pas vraiment là où il faut ... Normalement il devrait être juste à côté du H (donc n°4 vers l'oeil et on inverse) 

image.png

Du coup tu pars du 1 qui est en bas -> 2 en haut à droite -> 3 en haut à gauche donc tu tournes en S or tu as le H devant donc on inverse c'est R ! 

Est-ce que tu vois ?

 

il y a 9 minutes, Passover a dit :

La 9 c est tt

Pas de soucis ! 

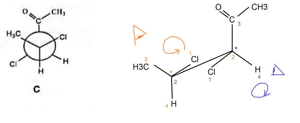
Déjà on va commencer par trouver les configurations des C*, pour ça c'est plus simple de passer en perspective cavalière je trouve ! 

Ensuite tu classes 1, 2, 3, 4 les 4 groupements des C* par ordre de Z décroissant.

Puis tu places ton oeil de façon à ce que le n°4 te fuit et tu tournes 1 -> 2 -> 3.

Ici pour le C* orange on tourne en S donc il est S.

Pour le bleu, pareil mais je trouve que c'est plus simple quand on se place avec le n°4 vers nous (donc il faut inverser à la fin) : on tourne en R donc on inverse, il est S !

image.png

 

Mtn pour nommer la molécule, je vais passer en formule semi-développée ça sera plus simple pour t'expliquer 

image.png

La chaine carbonée (CC) la plus longue est entourée en rouge. Tu as 5 C donc pent

Nom : pent

Tu n'as que des liaisons simples au sein de la CC donc -an après le radical pent

Nom : pentan

La fct principale mtn : c'est la cétone donc suffixe -one (il nous manque sa position encore)

Nom : pentan-?-one

Il faut donner des numéros aux groupements : 2 façons de numéroter (Dte -> Gche (en vert) ou Gche -> Dte (en rose))

     En rose, on aurait : 2,3-dichloro et 4-one

     En vert, on a : 2-one et 3,4-dichloro

           La règle pour choisir : On donne les numéros de telle sorte que la somme des positions des substituants soit la plus petite possible (ici on a dans les 2 cas 9 donc on peut choisir). Si la somme est identique, on donne le plus petit numéro à la fct principale, donc on choisit le numérotation verte !

Nom : 3,4-dichloro-pentan-2-one

Et on a le C* bleu qui est le C3 (confi S) et le C* orange qui est le C4 (S) donc 3S, 4S

Nom : (3S,4S)-3,4-dichloro-pentan-2-one

 

Dis-moi si c'est mieux !

 

il y a 56 minutes, Passover a dit :

je veux bien que tu détailles le calcul avec 0,4=...,

Ok je vais essayer mais dis-moi si jamais où tu bloques ! 

 

On a ΔE°' = E°'Ox - E°'Red          (c'est une formule à connaitre)

ΔE°' = +0,82 - (+0,42) = +0,82 - 0,42 

ΔE°' = + 0,4 V 

(Du coup la correction de la D est fausse ... 😑)

 

On a trouvé que ΔE°' = + 0,4 V. Or on sait que ΔE°' = 0,06/n logK (c'est une formule du cours à connaître)

Donc ΔE° = 0,4 V = 0,06/n logK

Donc : 

0,4 = 0,06/n logK          avec n = 4 e- (dis-moi si tu veux que je te détaille comment on le trouve)

 

Comment est-ce qu'on trouve que n = 4 ? 

n correspond au nb d'e- échangés dans la réaction.

Donc il faut qu'on trouve les demi-équations de chaque couple.

Nos 2 couples sont : NO3-/NO2- et O2/H2O

 

On commence avec NO3-/NO2- :

image.png

Donc la demi-équation est : NO3- + 2 e- + 2 H3O+ = NO2- + 3 H2O

 

Pour O2/H2O : On fait pareil ! 

no(O2) = 0

no(O) = 0

 

no(H2O) = 0 

no(O) = -2 no(H) = -2 x 1 = -2

 

Equilibre des atomes d'intérêt :

O2 = H2O

2 O vs 1 donc il faut 2 H2O à Dte

O2 = 2 H2O

 

Calcul du nb d'e- avec les no :

          O2    = 2 H2O

Donc 2 x 0 = 2 x (-2)

         0       = -4  -> il faut donc ajouter -4 à Gche donc 4 e- à Gche

O2 + 4 e- = 2 H2O

Et on peut s'arrêter à là même si on a pas fini car on a le nb d'e- !

2 pour la première et 4 pour la seconde donc on fait x2 pour la 1ère ! Ce qui fait qu'on a 4 e- échangés en tout ! Donc n=4 !*

 

 

On reprend notre calcul :

0,4 = 0,06/n logK

0,4 = 0,06/4 logK

0,4 = 0,015 logK

logK = 0,4/0,015 = 4.10-1 / 1,5.10-2 = 4.10/1,5 (*) 

(*) 10a/10b = 10a-b

logK = 40/1,5 ≈ 26,67 > 10

 

Dis-moi si c'est mieux !

 

J'ai un truc à faire mais je finis après promis !

Posted

Merci bcpppppp c super bien détaillé, 👏👌

Juste pour le calcul avec les log est ce que tu aurais des astuces pour faire ça sur papier , pour le 0,4/0.015 et tt ça ?

Pour le calculer ou t obligé de tout poser?

Pour la molécule, et les configurations, en orange si on place notre oeil au niveau du 4 pour faire comme en bleu on arriverait a la  meme conclusion ?

  • Ancien du Bureau
Posted
Il y a 2 heures, Passover a dit :

Merci bcpppppp c super bien détaillé, 👏👌

Avec plaisir !!!

 

Il y a 2 heures, Passover a dit :

Juste pour le calcul avec les log est ce que tu aurais des astuces pour faire ça sur papier , pour le 0,4/0.015 et tt ça ?

Moi j'aime pas les virgules donc je passe en puissance de 10 

Et après je raisonne avec donc là on a donc 0,4/0,015 = 4.10-1 / 1,5.10-2 = 4.10/1,5         car 10a/10b = 10a-b  donc avec notre calcul on a 10-1/10-2 donc 10-1-(-2) = 10-1+2 = 101 = 10

Donc au final tu as 40 / 1,5 or 40/1 = 40 et 40/2 = 20 donc t'es entre 40 et 20 (sans faire le calcul avec 1,5) donc largement supérieur à 10 ! 

Ca ne sera pas des calculs compliqués ou alors si c'est le cas, comme là, ils mettront un truc aberrant.

 

Il y a 2 heures, Passover a dit :

Pour le calculer ou t obligé de tout poser?

Poser cad ? Faire comme moi tout détailler ? Ou poser la division à la fin ? 

Pour le détail, là j'ai détaillé +++ mais sinon toi tu peux sauter des étapes en les faisant de tête.

Pour la division, comme je t'ai dit t'es pas obligé de trouver le 26,67, tu te mets entre 2 bornes faciles à calculer et si tu vois que c'est au dessus ou en dessous, ça te permet de ne pas la faire (si c'est au milieu, il faut faire le calcul par contre ...)

 

Il y a 2 heures, Passover a dit :

Pour la molécule, et les configurations, en orange si on place notre oeil au niveau du 4 pour faire comme en bleu on arriverait a la  meme conclusion ?

Oui bien sûr ! C'est la même molécule, tu peux la tourner dans tous les sens, la mettre dans n'importe configuration, ça sera tjrs la même confi, à partir du moment où tu respectes bien les règles, ça ne peut pas changer, c'est la même molécule donc où que tu te places ça sera tjrs tjrs la même configuration !

 

Il y a 3 heures, Passover a dit :

Ainsi que la partie sur l équilibre de charges ...

Tu regardes les charges de tes molécules (= 0) et ions (= charge de l'ion) et des e- (la somme des e- en négatif)

Du coup pour NO2- ta charge est -1 car l'ion est chargé -, idem pour NO2-

Et 2 e- donc -2

Ce qui fait : -1 = -1 -2 donc -1 = -3 donc il faut ajouter 2+ à droite pour que ce soit équilibré et ces 2+ correspondent à 2 ions H3O+ (2 x +1)

Est-ce que tu comprends ?

 

Il y a 3 heures, Passover a dit :

De l item 6 e ( Pourquoi y a du H2O ds mno4- si y en a déjà?

S'il y a déjà quoi ?

Des O ? Si c'est ça tu regardes, tu as 1 MnO4- donc 4 O et 8 H3O+ donc 8 O soit 8+4=12 O à gauche mais aucun à droite donc il faut 12 O à dte, ce qui est apporté par 12 molécules d'H2O (12 x 1 O) 

Et après tu vérifies les H pour être sûr que tu aies bien le même nb (sinon y'a une erreur qq part ...)

 

Il y a 4 heures, Passover a dit :

et est ce que le O a tjrs 2 dnl ou pas forcément

Sur les exos comme ça oui généralement, sinon tu auras un O- avec 3 DNL mais c'est très très très rare donc retiens que O a 2 DNL, N 1 DNL, F et Cl en ont 3 et C 0 (ce sont les éléments qui tombent le plus souvent)

  • Ancien du Bureau
Posted
Il y a 3 heures, Passover a dit :

Wow, merci beaucoup, pour ton aide, etdsl du dérangement 

Avec plaisir !!!

Par contre tu ne nous déranges pas du tout !!! Le Forum est fait pour ça donc posez vos questions, on est là pour y répondre !!!!!! Et ne vous excusez pas d'en poser pcq c'est le but du Forum : sans vous il n'y aurait pas de Fofo et ça serait bien triste ... 😥

Join the conversation

You can post now and register later. If you have an account, sign in now to post with your account.
Note: Your post will require moderator approval before it will be visible.

Guest
Reply to this topic...

×   Pasted as rich text.   Paste as plain text instead

  Only 75 emoji are allowed.

×   Your link has been automatically embedded.   Display as a link instead

×   Your previous content has been restored.   Clear editor

×   You cannot paste images directly. Upload or insert images from URL.

  • Recently Browsing   0 members

    • No registered users viewing this page.
×
×
  • Create New...