Jump to content

chimie organique


Go to solution Solved by Amélithium,

Recommended Posts

Posted

salut ! j'aurais besoin d'aide pour résoudre le qcm 10 de l'examen 2021 2022 session 1 (je n'arrive pas à le mettre en pièce jointe désolée)

pour l'item A je n'arrive pas à passer en Fischer

pour la représentation C je trouve 2R 3R mais il est marqué sur la correction que C est 2R 3S

pour B aussi quand je la met en Fischer je trouve qu'elle est RS alors que la correction indique SS 

bref voila je galère un peu 🥲

merci pour vos réponse 

  • Ancien du Bureau
  • Solution
Posted

Coucou @clara_ !

 

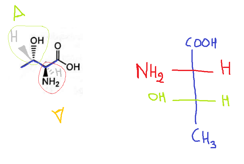
Ce qu'il faut savoir pour passer en Fischer, c'est qu'il faut TJRS mettre (ou regarder) la chaine carbonée vers le bas, je te fais le dessin en même temps, tu me dis si tu comprends ou si tu veux que je développe, vraiment y'a aucun soucis !

En Fischer, on met toujours le C le plus oxygéné (= qui porte le plus de O) en haut, donc ici ce sera le C de COOH, donc le CH3 sera en bas. 

Mtn on se concentre sur les groupements que l'ont va mettre sur les barres horizontales. Il faut que la chaine carbonée soit orientée vers l'Ar donc je te mets des trucs qui ressemblent à des yeux pour te montrer comment tu dois regarder ta molécule pour trouver.

Pour le C* avec les groupements rouges : Il faut que tu places ton regard en bas pour avoir la chaine carbonée qui te fuit et que tu aies tjrs ton COOH en haut. Donc tu as le NH2 sur ta gauche et le H sur la droite donc tu les places comme ça en Fischer !

Pour le C* avec les groupements verts : On place le regard en haut, avec le CH3 en bas et le COOH en haut qui nous fuient. Donc tu as le OH à gauche et le H à droite.

Du coup tu obtiens ça : 

image.png

 

Pour tes autres questions, tu as raison, il y a des erreurs, je l'ai expliqué ici si tu veux y jeter un coup d'oeil (mais tu as les bonnes configurations pour moi !!!) : 

 

Dis-moi si tu comprends ou si tu veux que je détaille plus !

 

Bon courage !!! ❤️

Posted

Super merci beaucoup pour tes explications @Amélithium !! 🥰

 

re coucou @Amélithiumdu coup j'ai une autre petite question qui me vient ! 

j'ai vu un qcm ou pareil il faut passer a une configuration de Fischer mais il n'y a pas de carbone plus hydroxylé a un bout ou l'autre de la chaine, ce sont 2 CH3, le principe reste le même et je regarde au dessous des groupements et je fais pareil ? 

c'est pour le QCM 11 de la session 2 de l'an dernier 

  • Ancien du Bureau
Posted

Avec plaisir @clara_ ! 🥰

 

il y a une heure, clara_ a dit :

j'ai vu un qcm ou pareil il faut passer a une configuration de Fischer mais il n'y a pas de carbone plus hydroxylé a un bout ou l'autre de la chaine, ce sont 2 CH3, le principe reste le même et je regarde au dessous des groupements et je fais pareil ? 

Oui si y'en a pas, peu importe ! (en général en plus il y a un plan de symétrie dans la molécule donc la prof aime bien les composés méso dans ces cas là !)

il y a une heure, clara_ a dit :

c'est pour le QCM 11 de la session 2 de l'an dernier 

Ouais voilà exactement ! Elle te propose le composé méso là, y'a un plan de symétrie donc que tu en mettent un en haut ou l'autre, au final tu obtiens strictement la même chose !

Join the conversation

You can post now and register later. If you have an account, sign in now to post with your account.
Note: Your post will require moderator approval before it will be visible.

Guest
Reply to this topic...

×   Pasted as rich text.   Paste as plain text instead

  Only 75 emoji are allowed.

×   Your link has been automatically embedded.   Display as a link instead

×   Your previous content has been restored.   Clear editor

×   You cannot paste images directly. Upload or insert images from URL.

  • Recently Browsing   0 members

    • No registered users viewing this page.
×
×
  • Create New...