Jump to content

avent QCM 10 TYPE 3


Go to solution Solved by Movgde,

Recommended Posts

Posted

Bonjour QCM 10 TYPE 3 

QCM 10 - Dans le monde la proportion de O- est de 7%. Sur 200 Toulousains 44 personnes sont de groupes sanguins O-. On donne χ(1);0,05 2 =3,84 et χ(1);0,01 2 =6,63. Indiquer si les propositions suivantes sont vraies ou fausses :

A. Il s’agit d’un test d'indépendance.

B. Il y a une différence significative au risque d’erreur de 1%.

C. Il y a une différence significative au risque d’erreur de 5%.

D. Le nombre de degrés de liberté est 1.

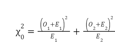
ITEM A ET B pour le calcul de χo2 je ferais χo2= (O1−E1 )² E1 +(O2-E2)² E2 avec O2=200-44 et E2=(1-0,07)*200 

ITEM D : mon raisonnement est proportion de O- et non O- donc k=2 

comme le ddl est k-1 alors le ddl est 1 la D est donc vrai

on trouve dans les deux cas le mème résultat mais pas de la mème façon

mon raisonnement est il bon? 

  • Ancien Responsable Matière
  • Solution
Posted

Bonjour @mbft!

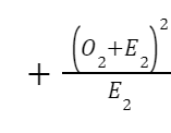
Alors effectivement, le calcul est pas complet dans la correction , il manque

image.png.a0f91af26973bff75ac1dc04672d5d30.png

Cependant comme ce terme est forcément positif ou nul et que l'autre membre est déjà très grand, bah ça changera pas grand chose au résultat car il sera forcement supérieur ou égal donc la conclusion restera la même.

Concernant ta formule je sais pas si tu l'as mal notée, car il n'y a pas les fractions, le calcul complet serait : 

image.png.344602f5e8df0a7eddf429098938ae21.png

 

(edit) Et pour l'item D ton résonnement est juste, car on est sur une fréquence observée et une fréquence théorique donc on est bien sur ddl = k-1!

 

En espérant t'avoir aidé 😀!

 

  • Ancien Responsable Matière
Posted

Coucou @mbft ! 

 

Pour les items B et C du QCM 10 du sujet-type 3, je viens d'éditer le msg résumant les erratas du poly de l'Avent avec le bon calcul. Donc si ça t'intéresse tu peux y jeter un coup d'œil. 😉

 

On est vrmt dsl pour toutes ces erreurs de notre part... 😓

N'hésite pas si tu as des questions ! 🥰

 

Révélation

Au passage @Movgde si tu peux vérifier que g pas écrit n'importe quoi dans le calcul que j'ai rajouté dans le post des erratas ce serait cool stp 😇

 

Join the conversation

You can post now and register later. If you have an account, sign in now to post with your account.
Note: Your post will require moderator approval before it will be visible.

Guest
Reply to this topic...

×   Pasted as rich text.   Paste as plain text instead

  Only 75 emoji are allowed.

×   Your link has been automatically embedded.   Display as a link instead

×   Your previous content has been restored.   Clear editor

×   You cannot paste images directly. Upload or insert images from URL.

  • Recently Browsing   0 members

    • No registered users viewing this page.
×
×
  • Create New...
Radio