Jump to content

La thyroxine


Go to solution Solved by lucide,

Recommended Posts

  • Ancien du Bureau
Posted

Coucou! dans le TD de biochimie sur les peptides/AA, cet item est faux: "La thyroxine est obtenue par la condensation de deux molécules de tyrosine avec élimination d’une molécule d’eau", mais on a qu'une correction avec les lettres, du coup je me demandais comment elle était obtenue ?

Mercii

  • Solution
Posted

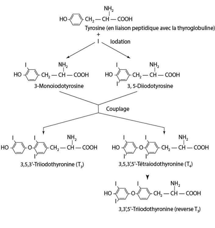
Salut @Lucie.31, voici un schéma qui explique la formation de T3 et T4 à partir de tyrosine : 

Screenshot_20221129-180237__01.thumb.jpg.eb9e7533fce1bea14548524b0b84fcb9.jpg

Je pense que l'item est compté faux par il n'y a pas de molécule d'H2O éliminée et qu'il faut aussi qu'il y ai iodation, donc ajout de molécule d'iode, sur les tyrosines.

 

Bon courage pour les révisions ! 

 

  • Ancien Responsable Matière
Posted

Salut @Lucie.31, je valide ce qu’à dit @lucidesurtout sur les atomes d’iode. Selon moi l’item est faux pour cette raison !

 

Bon courage !

Join the conversation

You can post now and register later. If you have an account, sign in now to post with your account.
Note: Your post will require moderator approval before it will be visible.

Guest
Reply to this topic...

×   Pasted as rich text.   Paste as plain text instead

  Only 75 emoji are allowed.

×   Your link has been automatically embedded.   Display as a link instead

×   Your previous content has been restored.   Clear editor

×   You cannot paste images directly. Upload or insert images from URL.

  • Recently Browsing   0 members

    • No registered users viewing this page.
×
×
  • Create New...