Raiponceatout Posted November 22, 2022 Posted November 22, 2022 Bonjour, J'avais juste une petite question, c'est quoi la différence entre S-CoA et CoA-SH? Merci :) Quote
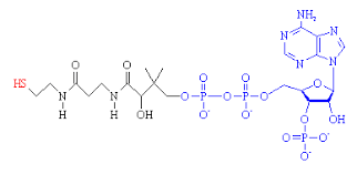
Solution IsaéLecat Posted November 22, 2022 Solution Posted November 22, 2022 Salut @Raiponceatout, Normalement tu vois S-CoA dans des molécules où CoA est liée à un autre élément (genre un AG comme dans le schéma en dessous). CoA-SH est la forme "libre" de la CoA quand elle n'est liée à rien. purproduitdusud, Fabulo and bENZOdiazépine 3 Quote
Raiponceatout Posted November 22, 2022 Author Posted November 22, 2022 Ah oui d'accord @IsaéLecat merci à toi ;) IsaéLecat 1 Quote
Recommended Posts
Join the conversation
You can post now and register later. If you have an account, sign in now to post with your account.
Note: Your post will require moderator approval before it will be visible.