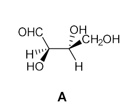
PASStonnum Posted November 12, 2022 Posted November 12, 2022 Bonjour, je n'arrive pas à retrouver la même configuration que nous avons fait en TD qui est 2R3S Est ce que qq pourrait m'aider svppp Selm 1 Quote
Solution roxvcrt Posted November 12, 2022 Solution Posted November 12, 2022 Salut @PASStonnum, Deja avant de commencer il faut regarder quelle fonction est prioritaire dans ta molécule pour savoir quel est le carbone 2 et 3. Ici, c’est ta fonction aldéhyde qu’il est prioritaire sur le carbone de gauche donc celui de gauche sera le 2 et celui de droite le 3. Ensuite on va lire les isoméries optiques des deux carbones : - pour celui de gauche : le premier substituant ça sera le OH puis on aura le CHO puis l’autre carbone asymétrique et enfin le H. Dans ce cas, on tournera dans le sens des aiguilles d’une montre et comme ton H (dernier substituant) est en arrière ton carbone est R. - pour celui de droite : le premier substituant sera le OH, puis le deuxième carbone asymétrique (il est lié à un O, un C et un H), puis CH2OH (le C est lié à 2H et 1O) et on finit avec le H. Pour pouvoir voir la configuration ici, il faut que tu imagines que tu regardes la molécule de façon à ce que le H soit en arrière. Ici, tu vas regarder par le haut et normalement tu devrais trouver une configuration S pour ton deuxième carbone asymétrique. Pour cette molécule on obtiendrait donc 2R3S. J'espère avoir répondu à ta question. Bon courage ! Au-ccipital, Aïssa, _melanight_ and 1 other 4 Quote
PASStonnum Posted November 12, 2022 Author Posted November 12, 2022 waw c'est parfait merci beaucoup @roxvcrt roxvcrt 1 Quote
Ancien Responsable Matière cpassfacile Posted November 12, 2022 Ancien Responsable Matière Posted November 12, 2022 salut , je ne comprend pas pour le Carbonne de gauche pourquoi c'est CHO qui est prioritaire sur le 2 eme C* ? Quote
hugoxy Posted November 12, 2022 Posted November 12, 2022 Salut @cpassfacile :) Le CHO est une fonction aldéhyde, le C est donc doublement lié à l'O, par conséquent on considère que c'est comme s'il était lié à 2 atomes d'oxygène. Du coup si on fait la comparaison, il est lié à deux O et un H alors que le C3 est lié à un O, un C et un H. Il est donc bien prioritaire sur ce dernier. evalanine, cpassfacile, _melanight_ and 2 others 5 Quote
Ancien Responsable Matière cpassfacile Posted November 12, 2022 Ancien Responsable Matière Posted November 12, 2022 @hugoxy ah oui ok je vois mercii :)) hugoxy 1 Quote
Recommended Posts
Join the conversation
You can post now and register later. If you have an account, sign in now to post with your account.
Note: Your post will require moderator approval before it will be visible.