Ancien Responsable Matière davidd Posted November 8, 2022 Ancien Responsable Matière Posted November 8, 2022 Salut Alors en faisant le TD 3 de chimie je ne trouves pas pareil que la correction du QCM 2 item D j'en compte plus serait il possible de m'expliquer ( moi qui pensais en avoir finit avec ça et bah nonnn SUPER) ? Quote
Ancien Responsable Matière davidd Posted November 8, 2022 Author Ancien Responsable Matière Posted November 8, 2022 Pour l'item 7 E mis vrai mais pour moi amine est en 3 et pas 2 car alcool est prioritaire sur lui non ? Quote
ana_ïs_otop Posted November 8, 2022 Posted November 8, 2022 Coucou, @davidd, est ce que tu peux joindre les images ? Aïssa and 101canards 2 Quote
Ancien Responsable Matière davidd Posted November 8, 2022 Author Ancien Responsable Matière Posted November 8, 2022 Salut aucun probleme https://moodle.univ-tlse3.fr/mod/resource/view.php?id=344607 il s'agit de la page 22 si ça ne marche pas je ferai des images avec zupimage si tu veux Quote
Solution ana_ïs_otop Posted November 8, 2022 Solution Posted November 8, 2022 Coucou @davidd, Pour le QCM2 item D, dans l'item il y a marqué "carbone FONCTIONALISES", quand tu regarde la molécule seul les 3 derniers carbones (de gauche à droite) ont une fonction : on parle ce ces carbones en sp3. Pour l'autre item : Dans la représentation de ta molécule les H sont sur les coté= sont devant en 3D. Donc quand les H sont devant on obtient l'inverse de ce que l'on trouve. En espérant t'aider :) Au-ccipital, 101canards, _melanight_ and 1 other 3 1 Quote
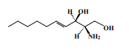
Ancien Responsable Matière davidd Posted November 8, 2022 Author Ancien Responsable Matière Posted November 8, 2022 Tu m'aides enormements il y a 11 minutes, Ana_ïs_otope a dit : "carbone FONCTIONALISES" Je ne connaissait absoluement pas ça merciii En fait le probleme du QCM 7 c'est la numerotation car l'enoncé donne celle noté en noir mais j'aurais tendance a mettre celle noté en rouge Quote
ana_ïs_otop Posted November 8, 2022 Posted November 8, 2022 Alors @daviddde moi même j'aurais aussi mis celle qui est en rouge car OH>NH2 mais si c'est donné dans l'énoncé il faut faire avec ce qu'ils te disent, donc pour ce QCM c'est l'ordre en noir (mais normalement c'est l'ordre en rouge) :) Au-ccipital, Aïssa and davidd 3 Quote
Ancien Responsable Matière davidd Posted November 8, 2022 Author Ancien Responsable Matière Posted November 8, 2022 il y a 16 minutes, Ana_ïs_otope a dit : Alors @daviddde moi même j'aurais aussi mis celle qui est en rouge car OH>NH2 mais si c'est donné dans l'énoncé il faut faire avec ce qu'ils te disent, donc pour ce QCM c'est l'ordre en noir (mais normalement c'est l'ordre en rouge) :) Genial merci beaucoup j'espere ils feront pas ça au concours c'est vachement fourbe ! Merci beaucoup en tout cas tu m'as grave aidé !!! ana_ïs_otop 1 Quote
Recommended Posts
Join the conversation
You can post now and register later. If you have an account, sign in now to post with your account.
Note: Your post will require moderator approval before it will be visible.