Ancien Responsable Matière davidd Posted November 7, 2022 Ancien Responsable Matière Posted November 7, 2022 Salut je comprends pas pourquoi les items BD sont vrais serait il possible de me l'expliquer ? Je trouves le truc a droite et ça colle pas non ? Quote
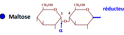
Solution ana_ïs_otop Posted November 7, 2022 Solution Posted November 7, 2022 Coucou @davidd, Pour l'item B, c'est un épimère car quand tu dessines le molécule citée dans l'item tu vois que tout est identique sauf en C4 ou la barre est vers le haut a la place du bas. Pour l'item D, le maltose est composée de hors ta molécule est du donc c'est bien un composé du maltose. (Molécule de droite) En espérant t'aider :) davidd 1 Quote
Ancien Responsable Matière davidd Posted November 7, 2022 Author Ancien Responsable Matière Posted November 7, 2022 Merci beaucoup !! c'est super claire !!! J'aurais juste une derniere question une est ce que on peut comparer sur le plan des epimere un cetone et un aldose ? il y a 10 minutes, Ana_ïs_otope a dit : En espérant t'aider :) Et pas qu'un peu mercciiiiii ana_ïs_otop 1 Quote
ana_ïs_otop Posted November 8, 2022 Posted November 8, 2022 Par définition un épimère est une molécule identique à celle d'origine SAUF pour un OH qui va se retrouver de l'autre coté de sa position d'origine. C'est donc un changment de conformation mais la molécule brute est la même. Donc un aldose et un cétone ne peuvent pas être des éphémères. Est ce que c'est bon @davidd? Quote
Ancien Responsable Matière davidd Posted November 8, 2022 Author Ancien Responsable Matière Posted November 8, 2022 il y a 1 minute, Ana_ïs_otope a dit : Est ce que c'est bon @davidd? C'est nickel merci beaucoup @Ana_ïs_otope !!! ana_ïs_otop 1 Quote
ana_ïs_otop Posted November 8, 2022 Posted November 8, 2022 @davidd, je viens de relire mon message :j'ai écris "molécule brute", c'est FORMULE brute. Désolée ... :( davidd 1 Quote
Ancien Responsable Matière davidd Posted November 8, 2022 Author Ancien Responsable Matière Posted November 8, 2022 Ne t'inquiete pas j'avais compris je me suis juste dis que c'etait un nouveau synonyme a apprendre ana_ïs_otop 1 Quote
Recommended Posts
Join the conversation
You can post now and register later. If you have an account, sign in now to post with your account.
Note: Your post will require moderator approval before it will be visible.