Jump to content

bilan hydrique


Go to solution Solved by Zoépisio,

Recommended Posts

Posted

Bonsoir, 

 

j'ai du mal à répondre à ce qcm meme en ayant la fiche sur le bilan hydrique du TAT, est-ce que quelqu'un pourrait m'aider svpp? 

 

bonne soirée. ☺️

 

image.png

Posted

Coucou, 

J’ai essayé de te détailler comment j’aurais fait pour répondre aux deux items sur le bilan hydrique, si jamais tu as aussi besoin  d’aide sur les autres items/si c’est pas encore tout à fait clair, n’hésite pas ! (Où juste si tu arrives pas à lire ce que j’ai écrit, promis je me vexerai pas 😉)

(Tu pourrais envoyer la correction qui va avec pour être sûre que je te dise pas de bêtises stp ?)

SmartSelect_20221030_232149_Samsung Notes.jpg

Posted
Il y a 22 heures, Zoépisio a dit :

Coucou, 

J’ai essayé de te détailler comment j’aurais fait pour répondre aux deux items sur le bilan hydrique, si jamais tu as aussi besoin  d’aide sur les autres items/si c’est pas encore tout à fait clair, n’hésite pas ! (Où juste si tu arrives pas à lire ce que j’ai écrit, promis je me vexerai pas 😉)

(Tu pourrais envoyer la correction qui va avec pour être sûre que je te dise pas de bêtises stp ?)

SmartSelect_20221030_232149_Samsung Notes.jpg

 

Bonjour j'ai le même problème que Nonox : je n'arrive pas trop à résoudre les QCM de ce type (ce qui est problématique car il y en a pas mal).

Dans ce cas là, d'où provient le 4,6 que tu soustrait au 3L d'eau par jour que boit le patient ?

  • Solution
Posted
il y a 59 minutes, PetiteComète a dit :

 

Bonjour j'ai le même problème que Nonox : je n'arrive pas trop à résoudre les QCM de ce type (ce qui est problématique car il y en a pas mal).

Dans ce cas là, d'où provient le 4,6 que tu soustrait au 3L d'eau par jour que boit le patient ?

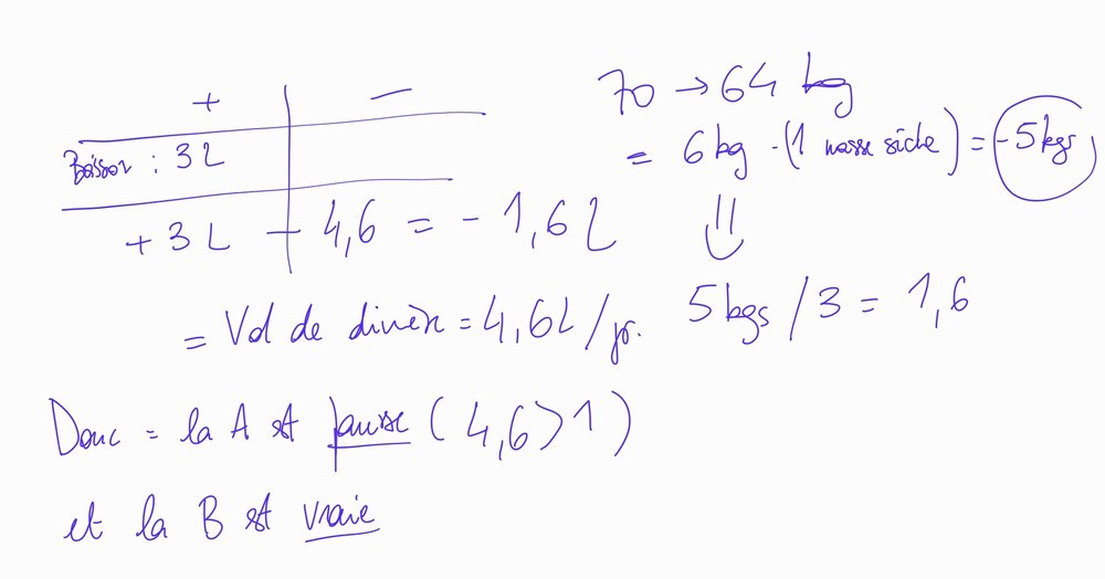
Coucou, 

Ces 4,6 litres correspondent a la diurèse, en fait je les ai obtenus par déduction, je m’explique,

Pour ce qui est des entrées d’eau :

-on te dit que l’apport d’eau endogène est compensé par les pertes insensibles, donc ca ne sert a rien de les inclure dans ton calcul, moins y’a de valeurs, mieux on se porte 😉

- ensuite on te dit qu’il ne mange pas, il est donc inutile de noter un zéro pour l’apport d’eau par la nourriture 

- ensuite on te dit qu’il boit 3L d’eau par jour 

donc le bilan d’apport d’eau est de 3L/jour

 

Pour ce qui est des pertes, on te dit rien si ce n’est qu’il va uriner 12 fois par jour (valeur qui va pouvoir te servir pour avoir un ordre d’idées si la valeur que tu as trouvée est la bonne).

On te dit également qu’il pert 6kgs en 3jours dont 1 de masse non hydratée, hors on s’intéresse uniquement aux pertes d’eau du coup ce 1kg dégage, ce qui te fait -5kgs en 3jours. Vu que je fais mon bilan sur 1 JOUR !! (fais attention à ne pas te faire avoir là dessus), il faut que je divise 5/3 ce qui te fais environ 1,6 kgs par jour (on va pas chipoter avec les autres chiffres après la virgule, la décimale suffit normalement).

On sait donc qu’il pert 1,6kgs/jour (1L=1kg).

Du coup il te reste donc à faire 3 moins combien fait -1,6 : 3-4,6. 
C’est comme ca que j’ai procédé hihi.

 

Quand tu remplis ce genre de qcm je te conseille vraiment déjà de toujours faire le tableau et ensuite de faire colonne par colonne, tu sais que dans les + tu retrouves trois cases, 

-l’eau endogène 

-l’eau alimentaire 

-la boisson

dans le - généralement tu n’as que 2 cases, 

-les pertes insensibles 

-la diurèse 

Fais bien attention aux signes lors de ton bilan et le tour est joué 🤪

Le secret de la réussite on ne le dira jamais assez mais c’est qcm, qcm, qcm !! 
Est ce que c’est plus clair ? 
 

 

 

 

Join the conversation

You can post now and register later. If you have an account, sign in now to post with your account.
Note: Your post will require moderator approval before it will be visible.

Guest
Reply to this topic...

×   Pasted as rich text.   Paste as plain text instead

  Only 75 emoji are allowed.

×   Your link has been automatically embedded.   Display as a link instead

×   Your previous content has been restored.   Clear editor

×   You cannot paste images directly. Upload or insert images from URL.

  • Recently Browsing   0 members

    • No registered users viewing this page.
×
×
  • Create New...
Radio