Iwiish Posted October 18, 2022 Posted October 18, 2022 Bonjour ! Les items A et D sont vrais mais j’ai du mal à savoir comment trouver la réponse, surtout que je ne vois pas la molécule de glycérol :( merci de votre aide <3 https://zupimages.net/viewer.php?id=22/42/y562.jpeg Quote
ana_ïs_otop Posted October 18, 2022 Posted October 18, 2022 Coucou @Iwiish, Pour l'item A, c'est une règle générale que tu dois avoir dans le cours, c'est comme ca, Pour l'item D ta molécule de glycérol est en bas a gauche au niveau du 1 2 3, entre les 2 O, là ou tu vois le OH du bas. En espérant t'aider . :))) Quote
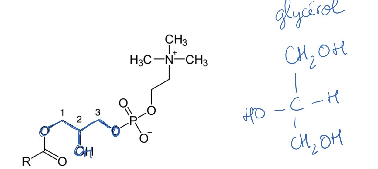
Sanargon Posted October 18, 2022 Posted October 18, 2022 il y a 11 minutes, Ana_ïs_otope a dit : ta molécule de glycérol est en bas a gauche au niveau du 1 2 3, entre les 2 O, là ou tu vois le OH du bas. Je te l'ai entouré si ça peut te faciliter les choses ! Quote
Solution Pucca Posted October 18, 2022 Solution Posted October 18, 2022 Salut @Iwiish, Le glycérol est là où j'ai repassé en bleu. En espérant que ce soit plus clair pour toi :) Quote
Iwiish Posted October 18, 2022 Author Posted October 18, 2022 il y a 4 minutes, Pucca a dit : Salut @Iwiish, Le glycérol est là où j'ai repassé en bleu. En espérant que ce soit plus clair pour toi :) Oui en développant je le vois, merci ! Pucca 1 Quote
Recommended Posts
Join the conversation
You can post now and register later. If you have an account, sign in now to post with your account.
Note: Your post will require moderator approval before it will be visible.