Jump to content

TD 2021


Go to solution Solved by PASSnavigo,

Recommended Posts

Posted

Bonjour, j’ai un soucis d’un simplicité sur un td de l’année dernière, je connais les formules que je dois surment utiliser mais je vois pas comment faire cet item

 

https://zupimages.net/viewer.php?id=22/41/r54i.jpg

 

merci de votre aide et si possible de me donner une amorce pour que je puisse le faire seul ensuite)

 

  • Ancien Responsable Matière
Posted

Salut, je laisse les autres t'aider, juste pour te dire que c'est pas lui le TD de 2022, le sujet a changé, regarde sur mooddle et il n'y a pas cette question 

  • Solution
Posted

Salut,

Pour l'item a on sait que, dans le cours l'énergie d'un électron isolé est image.png.b161d7d19d9ce321f13d3c7e3ce338c1.png 

Pour l'item B : si Etotale= facteur de Lorentz x 0.511 = 1.022  son facteur de lorentz est bien égale à 2.

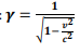
Pour l'item C : image.png.e941774e34863b1d4e79dd80d6b9ee44.png donc sachant qu'il est égale à 2 tu peux tester avec les 2 valeur proposer de la vitesse v de l'électron.

Et un électron est relativiste si sa vitesse v>0.1c

Join the conversation

You can post now and register later. If you have an account, sign in now to post with your account.
Note: Your post will require moderator approval before it will be visible.

Guest
Reply to this topic...

×   Pasted as rich text.   Paste as plain text instead

  Only 75 emoji are allowed.

×   Your link has been automatically embedded.   Display as a link instead

×   Your previous content has been restored.   Clear editor

×   You cannot paste images directly. Upload or insert images from URL.

  • Recently Browsing   0 members

    • No registered users viewing this page.
×
×
  • Create New...
Radio