théfruitsrouges Posted October 8, 2022 Posted October 8, 2022 Bonjour, par rapport a équation de Nernst Sur le cours il y a un "-" et sur internet, vidéos youtube et le poly du TAT la formule contient un "+". Je comprends pas, est-ce que quelqu'un pourrait m'expliquer svpp https://zupimages.net/viewer.php?id=22/40/6mhd.jpg Quote
Pucca Posted October 8, 2022 Posted October 8, 2022 Bonjour @théfruitsrouges, Tu remarqueras que lorsqu'on change le signe on change aussi le rapport [Red]/[Ox] en [Ox]/[Red]. Rappel : ln(a/b) = -ln(b/a) J'espère que c'est plus clair pour toi ! théfruitsrouges 1 Quote
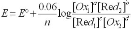
Solution AlexR2102 Posted October 8, 2022 Solution Posted October 8, 2022 salut ! alors je ne suis pas sûr de moi mais si tu compares la formule du cours et une formule vu sur internet (certaine ont un "+" et d'autre un "-" : celle-ci par exemple : tu peux remarquer que l'ordre dans ton logarithme est inversé. Dans ton cours le couple Red 1 et Ox2 est au-dessus. C'est ce changement qui fais varier le signe de ta formule. J'espere que tu as compris ! bonne journée théfruitsrouges and Dr_LaPat 2 Quote
théfruitsrouges Posted October 8, 2022 Author Posted October 8, 2022 (edited) @Pucca@RicHélium ahhhhh okok j'ai compris merciii. Du coup c'est moi qui éecide laquelle utiliser n'est-ce pas ?... où il y a une règle par rapport a ça Edited October 8, 2022 by théfruitsrouges Quote
Pucca Posted October 8, 2022 Posted October 8, 2022 @théfruitsrouges C'est ça tu choisis, même si généralement on préfère se trimballer un + qu'un - dans les calculs c'est pour ça qu'après tu le retrouve plus souvent dans les poly du TAT etc théfruitsrouges 1 Quote
AlexR2102 Posted October 8, 2022 Posted October 8, 2022 @théfruitsrougesC'est toi qui décide mais je te conseil de toujours utiliser la même. Personnellement, je prendre celle du cours ! tu auras plus de chances de tomber sur cette versions dans les corrections d'exo théfruitsrouges 1 Quote
théfruitsrouges Posted October 8, 2022 Author Posted October 8, 2022 merci à vous deux! :)) AlexR2102 and Pucca 2 Quote
Recommended Posts
Join the conversation
You can post now and register later. If you have an account, sign in now to post with your account.
Note: Your post will require moderator approval before it will be visible.