Jump to content

QCM 10 concours 2022


Go to solution Solved by windu,

Recommended Posts

Posted

Bonjour, 

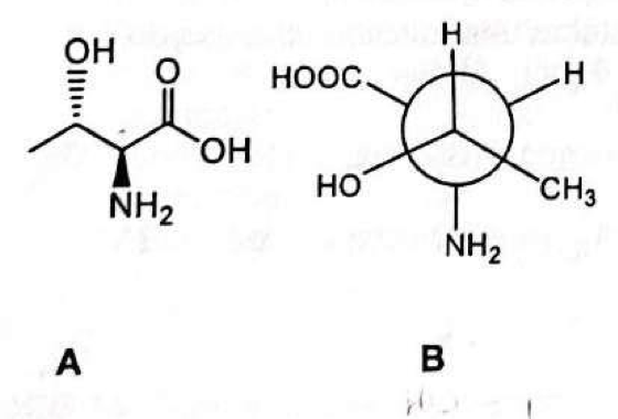
On me demande si ces deux molécules ceux a quoi j'ai répondu oui mais c'est faux et je ne comprends pas pourquoi..

J'ai surement du mal retranscrire la A en Fischer 

image.png.685dbffd8833d47d1217b23941eff706.png

  • Membre d'Honneur
  • Solution
Posted

Coucou,

 

Dans la B, tu peux retranscrire sous forme Fisher en alignant COOH et OH, de manière à avoir la configuration du carbone portant NH2. De cette manière, tu vois que ce carbone est en R alors que dans le A il est en configuration S. Donc les molécules sont différentes ! 

 

C'est bon pour toi ? 

Join the conversation

You can post now and register later. If you have an account, sign in now to post with your account.
Note: Your post will require moderator approval before it will be visible.

Guest
Reply to this topic...

×   Pasted as rich text.   Paste as plain text instead

  Only 75 emoji are allowed.

×   Your link has been automatically embedded.   Display as a link instead

×   Your previous content has been restored.   Clear editor

×   You cannot paste images directly. Upload or insert images from URL.

  • Recently Browsing   0 members

    • No registered users viewing this page.
×
×
  • Create New...