Jump to content

QCM 19 formation chimie orga


Go to solution Solved by Baymax,

Recommended Posts

  • Ancien Responsable Matière
  • Solution
Posted

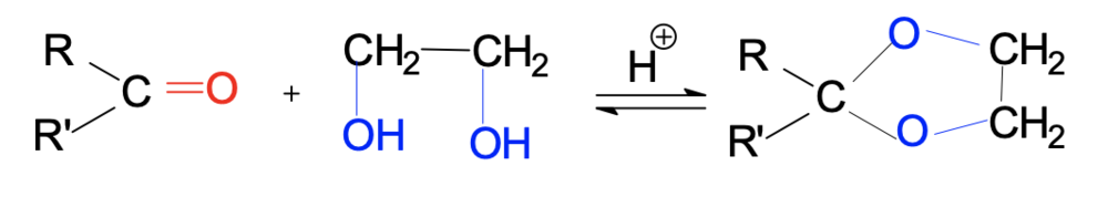
Salut @LaLoose

C'est une cétalisation avec un diol -> cétal cyclique

Je te remets la réaction du cours ! 

1703074734_Capturedcran2022-03-1711_27_06.thumb.png.defd278f00d1b0fa91eb35a66894f81a.png

Globalement, au lieu d'avoir deux molécules d'alcool qui réagissent avec le cétone, c'est deux groupements alcool d'une meme molécule et du coup il y a formation d'un cycle. 

C'est une particularité des cétalisations. 

Le mécanisme n'est pas plus détaillé dans votre cours donc je ne pense pas qu'il soit à connaitre ! 

Bon courage 

Posted
il y a 1 minute, Baymax a dit :

Salut @LaLoose

C'est une cétalisation avec un diol -> cétal cyclique

Je te remets la réaction du cours ! 

1703074734_Capturedcran2022-03-1711_27_06.thumb.png.defd278f00d1b0fa91eb35a66894f81a.png

Globalement, au lieu d'avoir deux molécules d'alcool qui réagissent avec le cétone, c'est deux groupements alcool d'une meme molécule et du coup il y a formation d'un cycle. 

C'est une particularité des cétalisations. 

Le mécanisme n'est pas plus détaillé dans votre cours donc je ne pense pas qu'il soit à connaitre ! 

Bon courage 

Merciiii

Join the conversation

You can post now and register later. If you have an account, sign in now to post with your account.
Note: Your post will require moderator approval before it will be visible.

Guest
Reply to this topic...

×   Pasted as rich text.   Paste as plain text instead

  Only 75 emoji are allowed.

×   Your link has been automatically embedded.   Display as a link instead

×   Your previous content has been restored.   Clear editor

×   You cannot paste images directly. Upload or insert images from URL.

  • Recently Browsing   0 members

    • No registered users viewing this page.
×
×
  • Create New...