Jump to content

Isomère E maraicher 2013 QCM16


Go to solution Solved by Baymax,

Recommended Posts

Posted

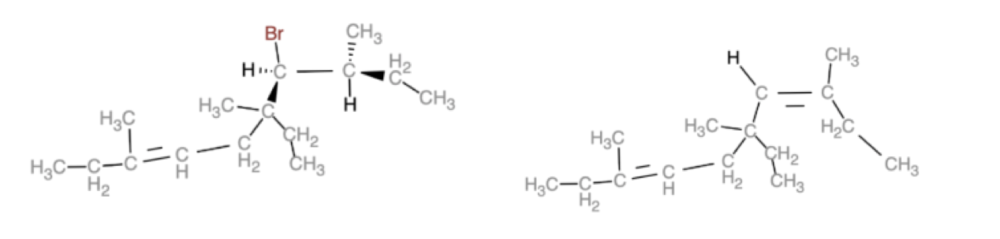
Heyy pe ce QCM: 3E, 5S, 6S, 7S, 6 bromo 5 éthyl 3,5,7, triméthyl non 3 ène traité par de la potasse concentrée à chaud conduit à un seul composé A. 

Qd j'ai fais la réaction pr trouver le composé A je tombe sur un alcène Z mais appremment c un E, qlqn peut me montrer comment faire svp ? 

 

mercii bcpp

  • Ancien Responsable Matière
  • Solution
Posted

Coucou @azmca18

C'est un QCM très difficile qui a un piège très méchant ! 

Je te redétaille les Item (il était dans la forma Chimie Orga aussi) : 

- A : faux, tu as raison, c'est bien de configuration Z 

- B : Vrai car concentré à chaud et "conduit à un seul composé"

- C et D : après la formation de la double liaison par élimination, il y a formation d'un axe de symétrie dans la molécule -> le carbone 5 qui était asymétrique ne l'est plus car il porte deux fois les memes composés donc C est juste (car plus de carbone asymétrique) et D est faux car il n'y a plus de notion de S ou R pour le C5 

- E : c'est un passage par un intermédiaire réactionnel

 

Si tu as d'autres questions, n'hésite pas !!

Bon courage  

Posted

heyyy @Baymax et @Noyzee on doit pas plutot dessiner la molécule dans l'espace et mettre les groupements partants dans le mm plan mais en trans et ensuite faire la réact°, c ça ce que je n'arrive pas à faire, dans ton schéma j'arrive pas à voir les atomes dans l'espace 

  • Ancien Responsable Matière
Posted

Si c'est ce qu'il faut faire ! 

J'ai repris les molécules dessinées dans la correction de la forma. 

C'est mieux ? 

719267149_Capturedcran2022-03-1623_18_55.thumb.png.bd4379b85aedb6ad542134b27b0cc263.png

Join the conversation

You can post now and register later. If you have an account, sign in now to post with your account.
Note: Your post will require moderator approval before it will be visible.

Guest
Reply to this topic...

×   Pasted as rich text.   Paste as plain text instead

  Only 75 emoji are allowed.

×   Your link has been automatically embedded.   Display as a link instead

×   Your previous content has been restored.   Clear editor

×   You cannot paste images directly. Upload or insert images from URL.

  • Recently Browsing   0 members

    • No registered users viewing this page.
×
×
  • Create New...