Jump to content

Recommended Posts

Posted

Bonsoir à tous, 

j’ai besoin de votre aide parce que je vais peter mon crâne sinon 

je crois que j’ai rien compris aux maths 

en fait j’ai compris le principe mais je comprend pas ce que je suis censée faire et comment je trouve le résultat : genre comment on trouve H x 2L ? 

je pense que c’est tout simple mais j’arrive pas à voir, je suis incompétente en maths ca fait peur (pourtant à l’époque j’adorais ca mdr) 

https://zupimages.net/viewer.php?id=22/09/b3pm.jpeg

 

  • Ancien Responsable Matière
Posted

T'inquiète je pense il a retourner le cerveau d'un peu tout le monde ce thème au début je pense. Du coup tu dois faire la dérivé de L²H avec H constante (la notation chelou que je sais pas écrire sur ordi ça veut dire dérivé partiel de v en fonction de L à H constant) donc c'est comme si tu dérivais ax² en fait mais x c'est L et H c'est a. 

Posted (edited)

Coucou !

La fonction à dériver c'est V = L2H

Calculer ∂V/∂L ça revient à dériver V en considérant H comme une constante, du coup:

V =  L* H => V = u * v avec :

       ¤ u= L2 -> u'=2L

       ¤ v= H -> v'=0 (puisque H est une constante)

∂V/∂L= v' * u + v * u'

∂V/∂L= 0 L2 + H * 2L

∂V/∂L= H * 2L

 

C'est plus clair ?

 

Edited by Insolence
Désolée @Bunot mais j'y ai passé trop de temps mdr
Posted

a bah alors la je vais vous embaucher en tant que prof @bunot et @Insolence parce que le notre sert à rien mdrr 

s’il avait juste rappeler qu’il fallait faire ça j’aurai même pas eu besoin de vous demander mdrr, j’avais juste oublier la formule tout ca tout ca 

mais en tout cas merci vous gérez :) 

Posted

Coucou, 

je reviens sous ce post pour éviter d’en faire 10 000, j’ai encore besoin de poser des questions bêtes en maths, donc desolé ahah 

 

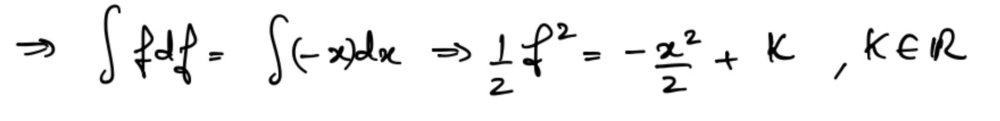
IMG_1432.thumb.jpg.80478f45eef6b5ec606696047166cd42.jpg

ici je me demandais pourquoi il n’y avait pas de constante avec f comme pour x 

 

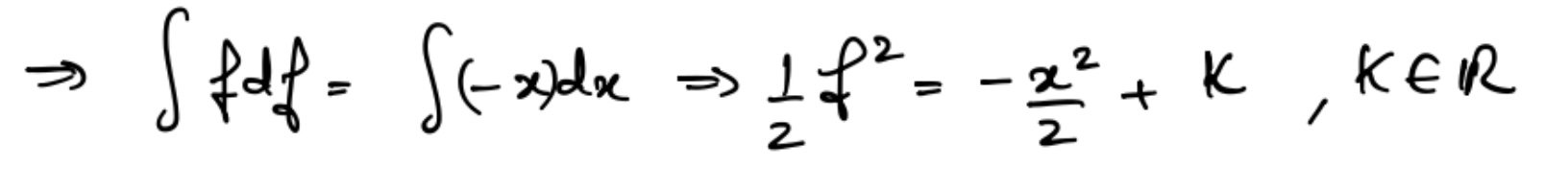
IMG_1431.thumb.jpg.57181f0d29edb97a0eeaf0bacd9f7b8e.jpg

et pour celle la, comment on sait que ca va donner ln(f) ? 

 

merci à celui ou celle qui va m’éclairer parce que je comprends rien mdr :)) 

  • Membre d'Honneur
Posted

Saluut,

 

Je m'incruste aux côtés de @bunot et @Insolence 🙃

 

il y a 6 minutes, lu0303 a dit :

je reviens sous ce post pour éviter d’en faire 10 000, j’ai encore besoin de poser des questions bêtes en maths, donc desolé ahah 

 

IMG_1432.thumb.jpg.80478f45eef6b5ec606696047166cd42.jpg

ici je me demandais pourquoi il n’y avait pas de constante avec f comme pour x 

Il pourrait y en avoir une de notée, mais puisque tu pars d'une égalité, on pourrait regrouper les constantes d'un côté (par exemple, si on rajoutait un +C à gauche, on pourrait créer une constante X = K-C et ne mettre que la variable X à droite). Donc dans tous les cas d'égalités de primitives, lorsque l'on intègre, on ne garde qu'une constante d'un seul côté de l'égalité. 

 

il y a 6 minutes, lu0303 a dit :

IMG_1431.thumb.jpg.57181f0d29edb97a0eeaf0bacd9f7b8e.jpg

et pour celle la, comment on sait que ca va donner ln(f) ? 

Tu sais que dériver ln(f(x)) donnera f'(x)/f(x) donc si tu prends une intégrale de f'(x)/f(x) ici notée df/f, tu auras bien ln(f(x)) ici notée ln(f). Et comme tu vois on retrouve la même histoire des constantes d'un seul côté ! 

 

C'est bon pour toi ? 🙃

Posted
Il y a 5 heures, windu a dit :

Saluut,

 

Je m'incruste aux côtés de @bunot et @Insolence 🙃

 

Il pourrait y en avoir une de notée, mais puisque tu pars d'une égalité, on pourrait regrouper les constantes d'un côté (par exemple, si on rajoutait un +C à gauche, on pourrait créer une constante X = K-C et ne mettre que la variable X à droite). Donc dans tous les cas d'égalités de primitives, lorsque l'on intègre, on ne garde qu'une constante d'un seul côté de l'égalité. 

 

Tu sais que dériver ln(f(x)) donnera f'(x)/f(x) donc si tu prends une intégrale de f'(x)/f(x) ici notée df/f, tu auras bien ln(f(x)) ici notée ln(f). Et comme tu vois on retrouve la même histoire des constantes d'un seul côté ! 

 

C'est bon pour toi ? 🙃

C’est parfait, merci d’avoir pris le temps de répondre ! 

Join the conversation

You can post now and register later. If you have an account, sign in now to post with your account.
Note: Your post will require moderator approval before it will be visible.

Guest
Reply to this topic...

×   Pasted as rich text.   Paste as plain text instead

  Only 75 emoji are allowed.

×   Your link has been automatically embedded.   Display as a link instead

×   Your previous content has been restored.   Clear editor

×   You cannot paste images directly. Upload or insert images from URL.

  • Recently Browsing   0 members

    • No registered users viewing this page.
×
×
  • Create New...