Keox Posted February 28, 2022 Posted February 28, 2022 Salut!! Bon alors en fait je suis vrmt une quiche pour dessiner les molécules, donc je voulais savoir si qqn aurait la gentillesse de me dessiner celles de la réaction du QCM10 page 8 avec A en Z Merci d'avance :) https://moodle.univ-tlse3.fr/pluginfile.php/534515/mod_resource/content/1/poly TD chimie UE 11 pharmacie 2021-2022.pdf Quote
Alba Posted February 28, 2022 Posted February 28, 2022 Coucou, c'est le QCM 10 page 9? je ne vois pas comment la molécule peut être Z... :) Quote
Keox Posted February 28, 2022 Author Posted February 28, 2022 (edited) @Alba C'est ce QCM : QCM 10 : Le composé A traité par le dibrome en solvant polaire conduit à C et C’. Les stéréocentres créés dans C et C’ ont les configurations (2S,3S) et (2R,3R). A) A peut être de configuration Z ou E. B) A est de configuration Z. C) C et C’ sont des énantiomères. D) C et C’ sont des diastéréoisomères. E) C et C’ possèdent seulement 2 carbones asymétriques -> items justes : B et D Edited February 28, 2022 by Keox Quote
Keox Posted February 28, 2022 Author Posted February 28, 2022 En fait c'est bon c'est juste moi ptdrr j'ai fait une cis addition au lieu de faire une trans addition Merci quand même!! @Alievna @Alba Alba 1 Quote
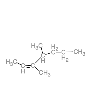
Solution Alba Posted February 28, 2022 Solution Posted February 28, 2022 il y a 9 minutes, Alievna a dit : composé A cis.pdf 23 Ko · 6 downloads Non justement, là il s'agit de la configuration E. Pour que la molécule soit de configuration Z, les plus gros substituants de chaque carbone impliqué dans la double liaison doivent être du même côté. Ici, CH3 et tout le groupe -CH3-CH-CH2-CH2-CH3 sont du même côté (en haut de la double liaison sur le schéma) et H et CH3 de l'autre (en bas de la double liaison). Keox 1 Quote
Alievna Posted February 28, 2022 Posted February 28, 2022 il y a 55 minutes, Alba a dit : Non justement, là il s'agit de la configuration E. Pour que la molécule soit de configuration Z, les plus gros substituants de chaque carbone impliqué dans la double liaison doivent être du même côté. Ici, CH3 et tout le groupe -CH3-CH-CH2-CH2-CH3 sont du même côté (en haut de la double liaison sur le schéma) et H et CH3 de l'autre (en bas de la double liaison). Ah d'accord, merci de m'avoir corrigé ! Quote
Recommended Posts
Join the conversation
You can post now and register later. If you have an account, sign in now to post with your account.
Note: Your post will require moderator approval before it will be visible.