Jump to content

apostrophe


Go to solution Solved by HenriPoincaré,

Recommended Posts

Posted (edited)

Salut!

Tu aurais la molécule en question ? 

 

C'est habituellement une notation d'une "seconde" partie d'une molécule. Si tu te souviens des cours de génome et des acides nucléiques, les bases étaient numérotées avec 1, 2, 3... et les riboses avec 1', 2', 3'... On prononcera alors "1 prime, 2 prime..." 

 

J'espère que c'est plus claire pour toi, n'hésite pas si ce n'est pas le cas.

 

Voici l'exemple dont je t'ai parlé plus haut: 

Structure-et-numerotation-des-riboses-et-des-principales-bases-composants-lADN-et-lARN.png

Edited by HenriPoincaré
Posted
Il y a 15 heures, HenriPoincaré a dit :

Salut!

Tu aurais la molécule en question ? 

 

C'est habituellement une notation d'une "seconde" partie d'une molécule. Si tu te souviens des cours de génome et des acides nucléiques, les bases étaient numérotées avec 1, 2, 3... et les riboses avec 1', 2', 3'... On prononcera alors "1 prime, 2 prime..." 

 

J'espère que c'est plus claire pour toi, n'hésite pas si ce n'est pas le cas.

 

Voici l'exemple dont je t'ai parlé plus haut: 

Structure-et-numerotation-des-riboses-et-des-principales-bases-composants-lADN-et-lARN.png

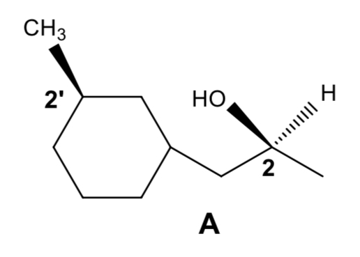
Salut ! J’ai pas trop compris.. :/ voilà la molécule

 r8w8.jpeg

  • Solution
Posted

Lorsque tu fais la numérotation des carbones dans une molécule, le carbone qui porte le groupement prioritaire doit porter la plus petite valeur.

 

Je pense donc que c'était simplement pour vous faire réfléchir sur l'ordre de numérotation de la molécule. Ici le groupement alcool (OH) est prioritaire et donc on va prendre la notation la plus petite pour le carbone le portant, ici le 2. Si nous prenons la numérotation en commençant par le méthyl (CH3), on se retrouve avec le carbone portant le OH en position 6'.

Donc on choisira la numérotation partant du 2 et non celle du 2'. 

 

Join the conversation

You can post now and register later. If you have an account, sign in now to post with your account.
Note: Your post will require moderator approval before it will be visible.

Guest
Reply to this topic...

×   Pasted as rich text.   Paste as plain text instead

  Only 75 emoji are allowed.

×   Your link has been automatically embedded.   Display as a link instead

×   Your previous content has been restored.   Clear editor

×   You cannot paste images directly. Upload or insert images from URL.

  • Recently Browsing   0 members

    • No registered users viewing this page.
×
×
  • Create New...