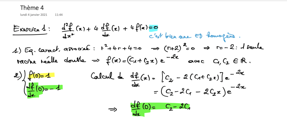
ddlacite Posted February 12, 2022 Posted February 12, 2022 Alors bon voilà il se trouve que je suis bloquée sur la 3e ligne de ce beau fascicule de maths : Je ne comprends pas d'où est-ce que vient cette équation : " df/dx(x) = [C2 - 2 (C1+C2x)] e ⁻²ˣ " ? Si il y a des gens qui sont déjà passés sur cet exo et que vous voyez ce que je veux dire c'est top !! Quote
Ancien Responsable Matière bunot Posted February 12, 2022 Ancien Responsable Matière Posted February 12, 2022 il y a 24 minutes, ddlacite a dit : Je ne comprends pas d'où est-ce que vient cette équation : " df/dx(x) = [C2 - 2 (C1+C2x)] e ⁻²ˣ " ? C'est la dérivé de f(x) (si tu veux je te détailles le calcul). Quote
une_PASSionnée Posted February 12, 2022 Posted February 12, 2022 heyy tu fait la relation suivante: comme f(t) est sous la forme u*v (avec u= C1+ C2x et v= e^-2x) tu appliques la relation suivante: df/dt= u*v+ u* vprime dis mois si c plus clair Quote
ddlacite Posted February 13, 2022 Author Posted February 13, 2022 Il y a 14 heures, azmca18 a dit : heyy tu fait la relation suivante: comme f(t) est sous la forme u*v (avec u= C1+ C2x et v= e^-2x) tu appliques la relation suivante: df/dt= u*v+ u* vprime dis mois si c plus clair Il y a 14 heures, bunot a dit : C'est la dérivé de f(x) (si tu veux je te détailles le calcul). Okkk super merci beaucoup !! honnêtement j'ai pas fait maths depuis 3ans donc je vais déjà commencer par rattraper toute cette partie sur les dérivées pour mieux comprendre de quoi il s'agit avant d'y revenir Merci beaucoup c'est plus clair !! une_PASSionnée 1 Quote
Ancien Responsable Matière bunot Posted February 13, 2022 Ancien Responsable Matière Posted February 13, 2022 il y a 5 minutes, ddlacite a dit : Okkk super merci beaucoup !! honnêtement j'ai pas fait maths depuis 3ans donc je vais déjà commencer par rattraper toute cette partie sur les dérivées pour mieux comprendre de quoi il s'agit avant d'y revenir Apprend toutes le formules de dérivés que tu trouves sur internet et après quand tu sais repérer la forme de ta fonction ça passe tout seul. une_PASSionnée 1 Quote
une_PASSionnée Posted February 13, 2022 Posted February 13, 2022 oui tkt on a tous une matière qui traine à rattraper, bon courage n'hésite pas à revenir si besoin Quote
ddlacite Posted February 19, 2022 Author Posted February 19, 2022 Le 13/02/2022 à 14:29, azmca18 a dit : oui tkt on a tous une matière qui traine à rattraper, bon courage n'hésite pas à revenir si besoin Le 13/02/2022 à 10:47, bunot a dit : Apprend toutes le formules de dérivés que tu trouves sur internet et après quand tu sais repérer la forme de ta fonction ça passe tout seul. merci beaucoup vraiment !! bunot 1 Quote
Recommended Posts
Join the conversation
You can post now and register later. If you have an account, sign in now to post with your account.
Note: Your post will require moderator approval before it will be visible.