lilarsenic Posted January 31, 2022 Posted January 31, 2022 Bonsoir, Quelqu'un peut m'expliquer comment le prof a développé pour arriver à ce qu'il a trouvé à la dernière ligne svp ? https://zupimages.net/up/22/05/33ku.png En développant, je trouve pas pareil... Merci d'avance :) Quote
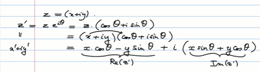
Ancien du Bureau Solution Dr_Zaius Posted January 31, 2022 Ancien du Bureau Solution Posted January 31, 2022 Voilà mon développement c'est le i * i = i² = -1 qui t'a sans doute posé problème lilarsenic 1 Quote
lilarsenic Posted January 31, 2022 Author Posted January 31, 2022 il y a 6 minutes, Dr_Zaius a dit : Voilà mon développement c'est le i * i = i² = -1 qui t'a sans doute posé problème c'est exactement ça (j'ai honte) merci beaucoup ! Quote
Ancien du Bureau Dr_Zaius Posted January 31, 2022 Ancien du Bureau Posted January 31, 2022 1 minute ago, lilarsenic said: c'est exactement ça (j'ai honte) merci beaucoup ! jamais de honte ! Bon courage @lilarsenic lilarsenic 1 Quote
Recommended Posts
Join the conversation
You can post now and register later. If you have an account, sign in now to post with your account.
Note: Your post will require moderator approval before it will be visible.