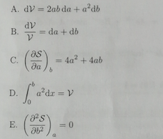
victor.atz Posted January 28, 2022 Posted January 28, 2022 Bonsoir, j'ai aussi du mal avec ces QCMs item CDE si quelqu'un pouvait m'aider merci beaucoup bonne soirée!! (: OCM Outils Maths 11 Soit un parallélépipède dont les faces avant et arrière (cf. figure ci- contre) sont des carrés de côté a et la base est un rectangle de largeur a et de longueur b. Le volume V et la surface S de ce parallélépipède valent V = a^2b et S = 2a^2 + 4ab. Parmi les propositions suivantes, choisir celles qui sont exactes et celles qui sont fausses Quote
druide Posted March 11, 2022 Posted March 11, 2022 @victor.atzest ce qu'on pourrait avoir les réponses stp pour éviter que je te t'envois des réponses fausses? victor.atz 1 Quote
victor.atz Posted March 11, 2022 Author Posted March 11, 2022 ADE sont les réponses! et en fait j'ai tout compris sauf la D où je trouve pas le même résultat (: Quote
C2H50H Posted March 11, 2022 Posted March 11, 2022 Salut @victor.atz, j’ai trouvé qu’elle était juste moi, as tu bien trouvé a^2 *x comme primitive de a^2 ? Car il faut faire bien attention a est une constante ensuite ça vient tout seul si tu sais faire une intégrale windu and BrianO'Conner 2 Quote
Recommended Posts
Join the conversation
You can post now and register later. If you have an account, sign in now to post with your account.
Note: Your post will require moderator approval before it will be visible.