Jump to content

newman et fisher me font peur


Go to solution Solved by Dr_Zaius,

Recommended Posts

Posted

https://tutoweb.org/PDFs/Librairie/Archive PACES/Maraîchers/Annales concours/2016-2017/S1 - Concours Maraîchers Janvier 2017 .pdf

 

bonjouurrr 

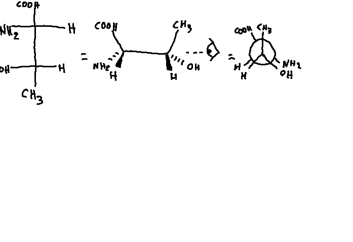
voilà dans le qcm 13 de cette annale je sais pas comment faire pour passer de fisher à newman :( (je sais que c'est UE1 mais je me dis qu'on sait jamais le jour du concours) 

 

est-ce que quelqu'un pourrait m'expliquer svp ? mercii

  • Ancien du Bureau
  • Solution
Posted (edited)

Se souvenir que la liaison (carbonée) verticale est en arrière du plan après je me fais le dessin mentalement ou sur le papier : voici

g0v3.png

^^ grand artiste

Edited by Dr_Zaius
  • Ancien Responsable Matière
Posted
Il y a 19 heures, tellierclementine a dit :

https://tutoweb.org/PDFs/Librairie/Archive PACES/Maraîchers/Annales concours/2016-2017/S1 - Concours Maraîchers Janvier 2017 .pdf

 

bonjouurrr 

voilà dans le qcm 13 de cette annale je sais pas comment faire pour passer de fisher à newman :( (je sais que c'est UE1 mais je me dis qu'on sait jamais le jour du concours) 

 

est-ce que quelqu'un pourrait m'expliquer svp ? mercii

@tellierclementine Slt, ce post va t'aider, inverse juste le raisonnement pour passer de Fisher à Newman ^^ 

 

 

Join the conversation

You can post now and register later. If you have an account, sign in now to post with your account.
Note: Your post will require moderator approval before it will be visible.

Guest
Reply to this topic...

×   Pasted as rich text.   Paste as plain text instead

  Only 75 emoji are allowed.

×   Your link has been automatically embedded.   Display as a link instead

×   Your previous content has been restored.   Clear editor

×   You cannot paste images directly. Upload or insert images from URL.

  • Recently Browsing   0 members

    • No registered users viewing this page.
×
×
  • Create New...