Jump to content

Stéréo-isomère


Go to solution Solved by Dr_Zaius,

Recommended Posts

Posted

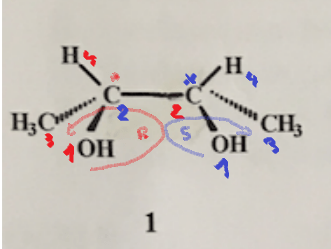
Salut, je sais plus comment on fait pour déterminer la configuration dans ce type de molécule, vous pouvez m'aider svp 

 

1247252135_stro-min.png.3c1f83a670e6d61a58a10527331666e1.png

 

 

  • Ancien du Bureau
Posted (edited)

Alors tu vois dans cette molécule qu'il y a deux carbone asymétrique et qu'ils portent tous deux les mêmes substituants tu as donc a faire à une molécule SR=RS: je te met le schéma si besoin :

6shu.png

Edited by Dr_Zaius
Posted

Exact, la molécule a 2C* (avec les mêmes substituants) et un plan de symétrie, elle est donc méso : RS = SR.

Normalement, tu n'as même pas besoin de le vérifier en classant les substituants ... mais @Dr_Zaius t'a fait une belle illustration 

Posted

Merci mais mon problème c'est qu'on est dans une situation où le 4 ème substituant n'est ni devant ni derrière et je sais plus comment on fait pour trouver du coup...

  • Ancien Responsable Matière
Posted

Salut @TheoPF

Dans la molécule, on peut bien voir les OH qui sont mis en AV (trait épais) et les H qui sont en AR (trait en pointillés). Le dessin est pas forcément très clair vu qu'on ne différencie pas bien les traits des traits épais. 

Ton problème vient de là ? 

  • Ancien du Bureau
  • Solution
Posted
12 hours ago, TheoPF said:

Merci mais mon problème c'est qu'on est dans une situation où le 4 ème substituant n'est ni devant ni derrière et je sais plus comment on fait pour trouver du coup...

Dans ce cas là tu as le droit de faire une rotation autour de la liaison simple. Ne t'en prive pas et dessine la molécule comme bon te semble.

Posted
Il y a 1 heure, Dr_Zaius a dit :

Dans ce cas là tu as le droit de faire une rotation autour de la liaison simple. Ne t'en prive pas et dessine la molécule comme bon te semble.

Ah oui merci! je viens de voir d'autres qcm et enft on peut mettre sous forme de Fischer dans ce cas là aussi, je visualise mieux comme ça 

 

Il y a 2 heures, Baymax a dit :

Salut @TheoPF

Dans la molécule, on peut bien voir les OH qui sont mis en AV (trait épais) et les H qui sont en AR (trait en pointillés). Le dessin est pas forcément très clair vu qu'on ne différencie pas bien les traits des traits épais. 

Ton problème vient de là ? 

Salut @Baymax, non c'était par rapport au fait que le 4ème substituant n'était ni en avant ni en arrière donc je savais pas comment déterminer la configuration mais je viens de comprendre que comme on avait CH3 en arrière on pouvait mettre directement sous forme de Fischer sans rien faire tourner... 

Join the conversation

You can post now and register later. If you have an account, sign in now to post with your account.
Note: Your post will require moderator approval before it will be visible.

Guest
Reply to this topic...

×   Pasted as rich text.   Paste as plain text instead

  Only 75 emoji are allowed.

×   Your link has been automatically embedded.   Display as a link instead

×   Your previous content has been restored.   Clear editor

×   You cannot paste images directly. Upload or insert images from URL.

  • Recently Browsing   0 members

    • No registered users viewing this page.
×
×
  • Create New...