Jump to content

Recommended Posts

Posted

Salut, est ce que quelqu'un aurait la gentillesse de m'expliquer la correction de la question 5 de cette exercice, je ne comprend pas du tout comment trouver les composantes.

 

merci d'avance !

Capture d’écran 2022-01-16 225011.png

Posted

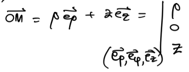
Salut ! 

Je crois qu'il faut que tu réutilises la formule qui est donné à la question 4 :

image.png.bd8b37e119e6f179e5ebc845bc662157.png

Sachant que ρ c'est la norme de ton vecteur et z c'est le même que celui des coordonnées cartésiennes

Join the conversation

You can post now and register later. If you have an account, sign in now to post with your account.
Note: Your post will require moderator approval before it will be visible.

Guest
Reply to this topic...

×   Pasted as rich text.   Paste as plain text instead

  Only 75 emoji are allowed.

×   Your link has been automatically embedded.   Display as a link instead

×   Your previous content has been restored.   Clear editor

×   You cannot paste images directly. Upload or insert images from URL.

  • Recently Browsing   0 members

    • No registered users viewing this page.
×
×
  • Create New...