Jump to content

TD2 mécanique


Go to solution Solved by emylyyy,

Recommended Posts

Posted

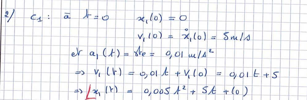
Saluut ! 

j'ai pas super bien compris d'ou sortait le 5t dans le résultat final 

parce que moi j'avais juste trouvé 0,005 t² + (0)

mercii

hm5b.jpg

2a8f.jpg

Posted
il y a une heure, emylyyy a dit :

C'est la vitesse initiale du coureur 1 (donc v10)

ahhh j'avais complétement oublié ça merci !

Join the conversation

You can post now and register later. If you have an account, sign in now to post with your account.
Note: Your post will require moderator approval before it will be visible.

Guest
Reply to this topic...

×   Pasted as rich text.   Paste as plain text instead

  Only 75 emoji are allowed.

×   Your link has been automatically embedded.   Display as a link instead

×   Your previous content has been restored.   Clear editor

×   You cannot paste images directly. Upload or insert images from URL.

  • Recently Browsing   0 members

    • No registered users viewing this page.
×
×
  • Create New...
Radio