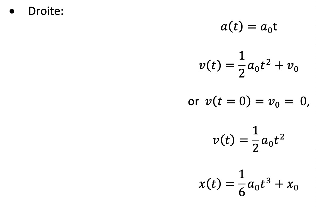
PassPartout_ Posted January 9, 2022 Posted January 9, 2022 Coucouu, J'ai pas compris comment on arrive à la dernière expression pour le graphe de droite à la question 5, quelqu'un peut m'expliquer ? Merci d'avance ! Quote
Solution Lady_Byrdie Posted January 9, 2022 Solution Posted January 9, 2022 Coucou! Alors avant tout, il faut être conscient que si on dérive x(t) on obtient la v(t) et ensuite si on dérive v(t) on obtient a(t) (normalement expliqué dans le cours). Si on fait le chemin inverse il faudra chercher la primitive de l'expression. Sur le graphique on peux constater que l’accélération n'est pas constante, par conséquence elle va varier selon la valeur de t. En utilisant le tableau de primitive. On sait que la primitive de t, c'est t²/2*a + constante. la constante sera la valeur de v0 quand t=0 ici v0=0 donc on obtient t²/2*a (soit 1/2* t²*a). Donc passer a x(t) on recherche la primitive de v(t), se qui nous donnera 1/3*1/2*t^3+constante2 (ici constante2 correspond a x0 quand t=0, c'est a dire le point de départ qu'on te donne dans l’énoncé, c'est a dire x0) donc finalement on obtient 1/6*t^3+x0 Est-ce que tu comprends mieux? Quote
PassPartout_ Posted January 9, 2022 Author Posted January 9, 2022 Hey @Lady_Byrdie ! J'ai tout compris jusqu'à là haha : il y a 25 minutes, Lady_Byrdie a dit : se qui nous donnera 1/3*1/2*t^3+constante2 le 1/3 il sort d'où ? Quote
Lady_Byrdie Posted January 9, 2022 Posted January 9, 2022 (edited) il y a 3 minutes, PassPartout_ a dit : e 1/3 il sort d'où re salut @PassPartout_ il sort de la primitive de t²=> t3/3 (ou plus generalement, primitive de tn= t(n+1)/n+1) Edited January 9, 2022 by Lady_Byrdie Quote
PassPartout_ Posted January 9, 2022 Author Posted January 9, 2022 il y a 3 minutes, Lady_Byrdie a dit : re salut @PassPartout_ il sort de la primitive de t²=> t3/3 (ou plus generalement, primitive de tn= t(n+1)/n+1) ça marche merci beaucoup <3 Quote
Recommended Posts
Join the conversation
You can post now and register later. If you have an account, sign in now to post with your account.
Note: Your post will require moderator approval before it will be visible.