Jump to content

nombre complexe exo 1.1


Go to solution Solved by Hugoccipital,

Recommended Posts

Posted (edited)

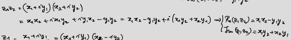
salut a tous, je suis entrain de commencer le thème 2 en maths mais je n'ai pas très bien compris dans ce développement pourquoi il y a écrit "y1y2"

si quelqu'un pouvait m'éclairer aha merci beaucoup

 

oops enft j'ai trouvé toute seule désolé

Capture d’écran 2022-01-09 à 10.41.46.png

Edited by lau31
  • Ancien Responsable Matière
  • Solution
Posted

Salut ! Je fais pas cette option mais dans mes souvenirs de terminale, c'est parce que i^2 =-1 et donc iy1*iy2 = -y1y2

Join the conversation

You can post now and register later. If you have an account, sign in now to post with your account.
Note: Your post will require moderator approval before it will be visible.

Guest
Reply to this topic...

×   Pasted as rich text.   Paste as plain text instead

  Only 75 emoji are allowed.

×   Your link has been automatically embedded.   Display as a link instead

×   Your previous content has been restored.   Clear editor

×   You cannot paste images directly. Upload or insert images from URL.

  • Recently Browsing   0 members

    • No registered users viewing this page.
×
×
  • Create New...
Radio