Jump to content

ED91


Go to solution Solved by Clément-R,

Recommended Posts

Posted

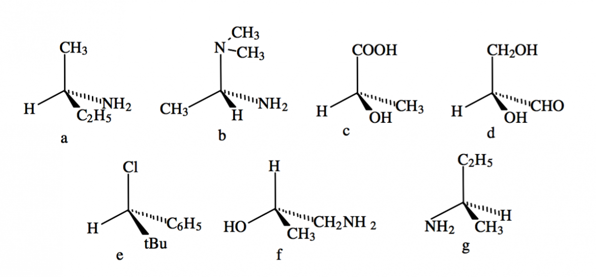
Bonjour, je n'arrive pas à comprendre pourquoi a et g ne sont pas des énantiomères ?

 

Quand je les mets en Fischer je trouve :

 

a : NH2 en haut, CH3 a gauche, H à droite, C2H5 en bas

g : NH2 en haut, CH3 à droite, H à gauche, C2H5 en bas

 

Merci de votre aide.

post-309-0-41491400-1446276387_thumb.png

Posted

Re-salut AshleyRockwell !

 

Pour cet item tu n'as pas besoin de représenter les molécules en projection Fischer, il te suffit de chercher leur configuration absolue selon Cahn-Ingold-Prelog.

 

Pour la molécule (a), selon la règle de priorité, le groupement NH2 est prioritaire, suivi par C2H5, puis par CH3 ==> tu trouve ainsi que la molécule (a) est de configuration R.

En faisant la même chose pour la molécule (g), tu trouve qu'elle est aussi de configuration R. 

 

Les molécules (a) et (g) ont donc la même formule et la même configuration absolue, ce sont donc exactement les MÊMES molécules (qui sont juste représentées dans une position différente), et non pas des énantiomères.

 

J'espère avoir été assez clair, c'est un peu compliqué à expliquer par message. ^^ N'hésite pas si tu veux plus d'explications !

 

Posted

Cher Clément, ta réponse a été limpide ! Je ne connaissais pas cette technique utile et astucieuse.

 

Tant que tu y es, est-ce que tu pourrais m'expliquer pourquoi ça ne fonctionnait pas en Fisher. Puisque après tout ça aurait dû fonctionner. Qu'est-ce que je fais mal lorsque je construis ma représentation ? Merci beaucoup.

  • Solution
Posted

Bonsoir AshleyRockwell !

 

En effet tu t'étais mal pris pour faire ta projection de Fischer, je vais essayer de t'expliquer ;)

 

Pour rappel, dans une projection de Fischer, la chaîne carbonée principale doit être verticale, avec l'indice carboné le plus petit en haut.

 

Ici on a une chaîne à 4 carbones, avec une fonction amine en position 2 ==> donc le C1 correspond au CH3.

 

Maintenant dans le cas précis de ces molécules, il est d'abord plus facile de les "tourner" pour que la chaîne principale soit verticale et dans un même plan (je t'ai mis en pièce jointe le détail des étapes pour chacune des molécules).

 

Pour la molécule (a), la projection de Fischer correspondra ainsi a : CH3 en Haut ; NH2 à Gauche ; et C2H5 en Bas.

 

Pour la molécule (g) c'est un peu plus compliqué, car telle qu'elle est tournée sur le poly, le C1 est en bas. Du coup quand c'est comme ça, je fais d'abord la projection sans tenir compte de la position du C1, puis une fois que c'est fait, il suffit alors de "tourner" (dans le plan de la feuille) la projection pour faire en sorte que le C1 soit bien en haut (désolé c'est un peu compliqué dit comme ça mais avec le schéma joint ça devrait aller mieux ^^). Au finale tu te retrouves donc avec la même projection de Fischer que la molécule (a).

 

J'espère t'avoir aidé !

post-3253-0-62538200-1446399325_thumb.jpg

post-3253-0-56332700-1446399327_thumb.jpg

Guest
This topic is now closed to further replies.
  • Recently Browsing   0 members

    • No registered users viewing this page.
×
×
  • Create New...
Radio