Jump to content

annales LANGIN


Go to solution Solved by SBY,

Recommended Posts

Posted

Bonjour voici un item Dun qcm de LANGIN 

En conditions physiologiques, cette base dans l’ADN génomique contient deux doubles liaisons dans le cycle pyrimidique.

la molécule est une cytosine 

je ne comprends pas sachant que ces une base purique pourquoi on parle de db liaison cycle pyrimidique est.. 

( elle est vrai)

merci  

  • Ancien Responsable Matière
  • Solution
Posted

Hello @laladu12 ! 

Ce serait possible de nous dire d'où vient cet item stp ?

Sinon pour te répondre la cytosine est bien une base pyrimidique. 

On a -Bases puriques : G et A

           -Bases pyrimidiques : C, U et T

 

Tu vois bien ici que la cytosine possède deux double liaisons dans le cycle

rd6h.png

J'espère que c'est plus clair pour toi !

Bon courage ! 💚

Posted

OH LALA je suis fatiguée oui oui cytosine base pyrimidique 

mais vu la photo de l'item je ne comprends pas trop...

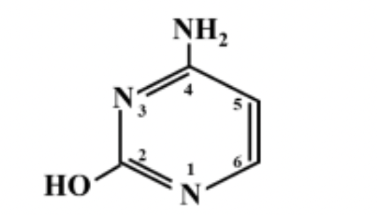
1679685808_Capturedcran2021-12-0621_27_51.png.08e6291fd854a51615fe19b2fba6e7c5.pngvoici la molécule de l'item mais ici je suis perdue sur ce que cest 
cest l'annale de 2019 mais je ne connait pas a la fac car ce sont des captures d'écrans de qcms 

litem D est celui la si vous voulez chercher je sais pas

La méthylation de cette base dans le promoteur d’un gène peut constituer un mécanisme de répression transcriptionnelle.

que ne je comprends pas aussi (D).... :(((((((

  • Ancien Responsable Matière
Posted

C'est la même chose que celle que je t'ai envoyé. Ce sont des formes tautomères. On retrouve les deux formes dans l'ADN. 

Ne te casse pas la tête avec ça vous n'avez pas à connaitre la structure des bases. 

Ce QCM vient de R2019. C'est Bettina qui vous fait cette partie vous n'aurez pas de QCM comme ça. C'est HP ! 

Je te conseil d'utiliser la compilation des annales de génome qu'on a faite et que tu peux retrouver sur la librairie pour éviter de perdre trop de temps sur des QCM HP 😉

 

Bonne soirée 💚

Join the conversation

You can post now and register later. If you have an account, sign in now to post with your account.
Note: Your post will require moderator approval before it will be visible.

Guest
Reply to this topic...

×   Pasted as rich text.   Paste as plain text instead

  Only 75 emoji are allowed.

×   Your link has been automatically embedded.   Display as a link instead

×   Your previous content has been restored.   Clear editor

×   You cannot paste images directly. Upload or insert images from URL.

  • Recently Browsing   0 members

    • No registered users viewing this page.
×
×
  • Create New...