Jump to content

Poly de l'avent sujet 2 qcm 9


Go to solution Solved by Youttrium,

Recommended Posts

Posted

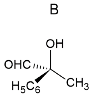
Bonjour !  dans le qcm 9 du sujet 2 du poly de l'avent, la correction met qu'il est de configuration S  je n'arrive pas à voir pourquoi 

 

 

 

 

1614397470_Capturedcran2021-12-0608_13_07.png.612a4904a29bf8a5b1d4182779686b7e.png

 

Merci d'avance ! 

Posted

Salut, 

 

il faut classer les substituants du C* par Z décroissant.

Ici, on a OH en 1, CHO en 2, C6H5 en 3 et CH3 en 4. Comme on tourne dans le sens contraire aux aiguilles d'une montre alors il est de configuration S.

 

c'est bon pour toi? 🙂

 

bonnes révisions 

Posted
Il y a 5 heures, Alba a dit :

Salut, 

 

il faut classer les substituants du C* par Z décroissant.

Ici, on a OH en 1, CHO en 2, C6H5 en 3 et CH3 en 4. Comme on tourne dans le sens contraire aux aiguilles d'une montre alors il est de configuration S.

 

c'est bon pour toi? 🙂

 

bonnes révisions 

 

j'ai numéroté de la même manière mais en faite ; je pensais que comme le CH3 est devant est qu'il est  position 4 on inverse 😓 @Alba

  • Ancien Responsable Matière
  • Solution
Posted
Il y a 2 heures, medicalheart a dit :

 

j'ai numéroté de la même manière mais en faite ; je pensais que comme le CH3 est devant est qu'il est  position 4 on inverse 😓 @Alba

 

Coucouuuu !

 

Non pas forcément 😉 quand le substituant le plus faible est dans le plan (ici c'est le cas de ton CH3), on place son œil de sorte à ce que celui-ci soit en arrière 

En gros, là tu places ton œil comme ça :

https://zupimages.net/viewer.php?id=21/49/gpdk.png

 

Ensuite, tu numérotes et tu tournes de 1 vers 2 sans passer par 3 et ça devrait aller !

 

C'est plus clair ? Sinon n'hésite pas 🥰

Posted
il y a 33 minutes, Youttrium a dit :

 

Coucouuuu !

 

Non pas forcément 😉 quand le substituant le plus faible est dans le plan (ici c'est le cas de ton CH3), on place son œil de sorte à ce que celui-ci soit en arrière 

En gros, là tu places ton œil comme ça :

https://zupimages.net/viewer.php?id=21/49/gpdk.png

 

Ensuite, tu numérotes et tu tournes de 1 vers 2 sans passer par 3 et ça devrait aller !

 

C'est plus clair ? Sinon n'hésite pas 🥰

 

ah ok ! merci ! juste une dernière petite question , ducoup à quel moment on inverse le sens ? j'ai tendance à confondre 😕

Posted

Coucou, 

 

il faut inverser le sens quand le plus petit substituant est placé en avant du plan 🙂

 

Join the conversation

You can post now and register later. If you have an account, sign in now to post with your account.
Note: Your post will require moderator approval before it will be visible.

Guest
Reply to this topic...

×   Pasted as rich text.   Paste as plain text instead

  Only 75 emoji are allowed.

×   Your link has been automatically embedded.   Display as a link instead

×   Your previous content has been restored.   Clear editor

×   You cannot paste images directly. Upload or insert images from URL.

  • Recently Browsing   0 members

    • No registered users viewing this page.
×
×
  • Create New...