Jump to content

Liaisons phosphodiester et anhydride d'acide


Go to solution Solved by PhosphatidylFlorine,

Recommended Posts

Posted

Salut saluuuut les tuto-super-héros est-ce que quelqu'un voudrait bien m'expliquer ce qui fait la différence entre une liaison anhydride  d'acide et une liaison phosphodiester svp ? 😅 parce que sur cette diapo de Madame Couderc on pourrait se laisser croire que c'est la même chose... néanmoins je préfère demander 😛 Merci beaucoup beaucoup image.png.594cf909cce0814da7c9e556c12cc125.png

Posted (edited)

Salut !! alors pour moi une liaison phosphodiester c'est la liaison d'un phosphate à deux autres molécules via 2 liens ester, ce que tu peux voir du coup entourés en violet sur ton schéma. On voit bien des Phosophores reliés aux riboses grâce à des liaisons ester. 

 

Une liaison d'anhydride d'acide en gros c'est CO-O-CO, et les atomes de carbones tu peux les remplacer par un phosphore par exemple ici, donc tu auras PO-O-PO, et elle est riche en énergie, et tu peux voir qu'il y en a deux entouré en rouge tout en haut. 

 

J'espère que je t'ai aidé, bon courage 🙂

 

 

 

Edited by Clara2523
  • Solution
Posted (edited)

Salut @florum ! 😊

 

Pour t'aider à mieux comprendre ce que je vais raconter, je te remets une capture d'une diapo de la prof pour que tu visualises une liaison ester: 

jpxp.png

Comme tu peux donc le voir, une liaison ester résulte d'une réaction entre un alcool et d'un acide phosphorique. Une liaison phosphodiester correspond à un atome de phosphore lié doublement par des liaisons de ce type. 

Dans le cas d'un acide nucléique tu te retrouvera notamment avec un phosphore lié à deux nucléosides successives, chacun par une liaison ester. 

 

Une liaison anhydride d'acide, elle, résulte de la déshydratation (donc de la perte d'un H2O) d'un acide comme d'un acide carboxylique, sulfonique, phosphorique (cas de l'ADN notamment).

Dans un acide nucléique tu auras une liaison du typeR-PO-O-PO-R. En gros si tu veux les deux groupement reliés par ta liaison -O- résultent ici de la déshydratation d'un acide phosphorique. Ce que je m'apprête à dire n'est pas trop chimique mais si ça peut t'aider à les différencier d'une liaison phosphodiester tu peux voir que tes atomes de chaque côté de la liaison -O- seront tous les deux doublement liés à un autre oxygène.  

La liaison -O- entre les deux acides phosphoriques n'est donc pas un ester, les liaisons anhydrides d'acides et phosphodiesters sont bien différentes.

 

En résumé: sur l'image ci-dessous, je t'ai entouré en bleu les deux liaisons anhydrides d'acide dont on te parle sur la diapo, en jaune une liaison ester et en rose/violet tu as les deux liaisons phosphodiesters.

cwcj.png

 

J'espère que ma réponse t'auras un peu éclairé, n'hésites pas si tu as d'autres questions. 🤗

Bon courage ! 💪

 

 

Edited by PhosphatidylFlorine
Posted

Bonjour !! 

Je me posais la même question est dcp je suis tombée sr cette réponse est ce que on peut donc dire que une liaison anhydride acide c'est P-O-P et phosphodiester c'est      O-P-O ?

Posted (edited)
Il y a 18 heures, camcam0412 a dit :

Je me posais la même question est dcp je suis tombée sr cette réponse est ce que on peut donc dire que une liaison anhydride acide c'est P-O-P et phosphodiester c'est      O-P-O ?

Salut @camcam0412 ! Je ne le retiendrais pas comme ça, ça pourrait vous induire en erreur en fonction de comment vous lisez la liaison. Par exemple quand tu as plusieurs liaisons anhydrides d'acides à la suite en 5' tu peux lire P-O-P ou O-P-O. 🤗

Pour l'examen de génome, retenez surtout que les liaisons phosphodiesters sont retrouvées entre les différents nucléosides successifs de la chaîne d'acide nucléique et que les liaisons anhydrides d'acides sont retrouvées entre les différents phosphates du premier nucléotide.

Et entre le premier phosphate et le sucre du premier nucléotide de la chaîne c'est une liaison ester. 

Edited by PhosphatidylFlorine
Posted

Mais est ce que les liaisons anhydrides d'acides c'est que pour le phosphate du 1er nucléotide ou c'est pour tous ? 

Et aussi est ce que le 1er nucléotide est TOUJOURS un triphosphate ou il y a des exceptions ? 

 

Mercii d'avance !! 

Posted
Il y a 5 heures, camcam0412 a dit :

Mais est ce que les liaisons anhydrides d'acides c'est que pour le phosphate du 1er nucléotide ou c'est pour tous ? 

Tous les nucléotides triphosphates arrivant auront des liaisons anhydrides d'acide mais lorsqu'ils seront ajoutés au polynucléotide et qu'ils libèreront un pyrophosphate il n'y aura plus de liaisons anhydrides d'acide. Le premier nucléotide en 5' gardera ses 3 phosphates et donc les liaisons anhydrides d'acide. 

 

Il y a 5 heures, camcam0412 a dit :

Et aussi est ce que le 1er nucléotide est TOUJOURS un triphosphate ou il y a des exceptions ? 

Il sera toujours triphosphate ☺️

 

  • 2 years later...
Posted (edited)

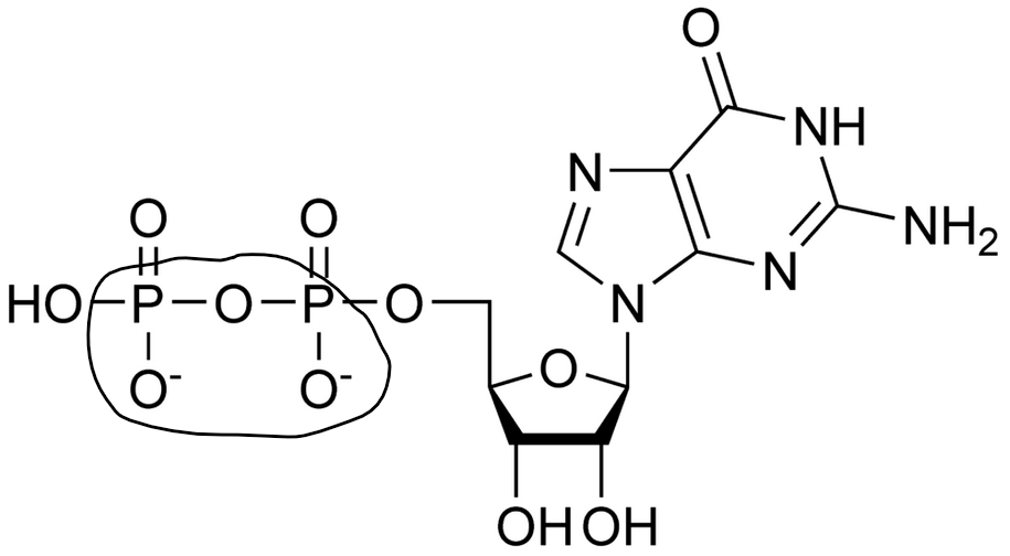
Coucou,

les nucléotides diphosphates peuvent présenter des liaisons anhydre d'acide ! On peut en identifier une par exemple dans la structure du GDP (guanosine diphosphate) entourée ci-dessous :

GDP-anhydredacide.png.2db0ba331fd4d2ebff0b70f16f340971.png

 

La liaison -O- sépare deux atomes de phosphore qui sont chacun doublement lié à un atome d'oxygène (OP-O-PO).

 

En espérant avoir pu t'aider !

 

Force et courage pour les révisions

Edited by _Alice_
Précision dans l'explication

Join the conversation

You can post now and register later. If you have an account, sign in now to post with your account.
Note: Your post will require moderator approval before it will be visible.

Guest
Reply to this topic...

×   Pasted as rich text.   Paste as plain text instead

  Only 75 emoji are allowed.

×   Your link has been automatically embedded.   Display as a link instead

×   Your previous content has been restored.   Clear editor

×   You cannot paste images directly. Upload or insert images from URL.

  • Recently Browsing   0 members

    • No registered users viewing this page.
×
×
  • Create New...