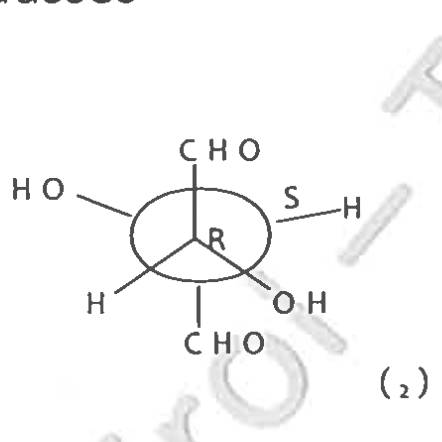
unePASSmlg05 Posted November 28, 2021 Posted November 28, 2021 Bonsoir !! est ce que quelqu'un peut me dire comment on fait pour reconnaitre rapidement un composé méso? notamment avec celui là voila merci Quote
Omie Posted November 28, 2021 Posted November 28, 2021 Salut, là tu superpose les deux CHO en faisant une rotation de 180° du carbone en arrière et tu vois que les OH se superposent aussi entre eux, ils sont du même côté donc la molécule est méso. Soit tu arrives à directement le voir soit tu passes en fischer. Quote
unePASSmlg05 Posted November 28, 2021 Author Posted November 28, 2021 et donc est ce qu'il y a un lien entre les configurations R et S qu'on trouve et le fait que ca soit un méso? Quote
Ancien Responsable Matière Ezrich Posted November 28, 2021 Ancien Responsable Matière Posted November 28, 2021 il y a 30 minutes, unePASSmlg05 a dit : et donc est ce qu'il y a un lien entre les configurations R et S qu'on trouve et le fait que ca soit un méso? Salut Si les deux énantiomères de ta même molécule sont identiques, alors il s'agit d'un composé méso Quote
Solution Pacemaker Posted November 28, 2021 Solution Posted November 28, 2021 il y a 21 minutes, unePASSmlg05 a dit : et donc est ce qu'il y a un lien entre les configurations R et S qu'on trouve et le fait que ca soit un méso? Saluuut ! Une molécule méso sera forcément de configuration RS ou SR. Mais attention toutes les molécules de configuration RS ou SR ne sont pas méso !! Donc : On ne peut pas déduire que la molécule est méso juste en nous donnant sa configuration. On peut déduire la configuration de la molécule si on nous dit qu'elle est méso. J'espère que c'était pas trop tordu comme explication hahah N'hésite pas si tu veux un exemple Ezrich 1 Quote
unePASSmlg05 Posted November 29, 2021 Author Posted November 29, 2021 non c'est vraiment super merci a vous tous !!!! Quote
Recommended Posts
Join the conversation
You can post now and register later. If you have an account, sign in now to post with your account.
Note: Your post will require moderator approval before it will be visible.