Jump to content

Mécanique des fluides, vitesse dans un conduit


Go to solution Solved by MarceloSalace,

Recommended Posts

  • Ancien Responsable Matière
Posted (edited)

Saluttt !!!!

 

J'ai un petit soucis avec les formules du cours... 🥴

On nous dit d'abord que le débit est constant, et que la vitesse(moyenne) est inversement proportionnelle à la surface de la section pour permettre cela

Ensuite on nous donne la formule de la vitesse(max) qui augmente avec la surface de section (jusque là, pas de soucis)

 

image.thumb.png.74685eb5fc2676a192bd96cf3cd4d096.png

 

Et après j'ai vu quelque part la formule suivante V(moy)=V(max)/2

mais là je beugue un peu plus (psk dans ce cas Vmax et Vmoy devraient varier dans le même sens)

 

J'ai retrouvé cette formule sur la fiche proposé par le poly de biophysique page 157

 

Et je l'ai retrouvé également sur internet, à la page 2, jsp ce que ça vaut... https://www.rpn.ch/lddr/physique/dossierMatiere/listeprofs/denise/OC_physique/pdfs/Chapitre7_DynamiqueFluide.pdf

 

Est ce que cette formule vous dit quelque chose ? Ou peut-être ça représente pas les mêmes vitesses

Edited by Ezrich
  • 2 weeks later...
  • Solution
Posted

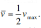
Hé bonsoir ! 

tu parles de ça ? image.png.b44c2ab87201996d4faee7845f2b6b9b.png

 

Je ne comprends pas très bien ce qu'il te turlupines  ?

La vitesse moyenne est bien proportionnelle à la vitesse maximal selon la formule !  

Si la vitesse avait été au dénominateur, alors la vitesse aurait été inversement proportionnelle, or la vitesse maximal est bien au numérateur, ducoup la vitesse moyenne est proportionnelle à la vitesse maximal 

  • Ancien Responsable Matière
Posted (edited)

Salut, 

Le 26/11/2021 à 00:59, Ezrich a dit :

On nous dit d'abord que le débit est constant, et que la vitesse(moyenne) est inversement proportionnelle à la surface de la section pour permettre cela

Ensuite on nous donne la formule de la vitesse(max) qui augmente avec la surface de section (jusque là, pas de soucis)

Non justement, ils sont censés varier en sens inverses

@MarceloSalace @Le_Rangueillois @Le_Purpanais

Edited by Ezrich

Join the conversation

You can post now and register later. If you have an account, sign in now to post with your account.
Note: Your post will require moderator approval before it will be visible.

Guest
Reply to this topic...

×   Pasted as rich text.   Paste as plain text instead

  Only 75 emoji are allowed.

×   Your link has been automatically embedded.   Display as a link instead

×   Your previous content has been restored.   Clear editor

×   You cannot paste images directly. Upload or insert images from URL.

  • Recently Browsing   0 members

    • No registered users viewing this page.
×
×
  • Create New...
Radio