Jump to content

Beta D fructopyranose


Go to solution Solved by Camcammm,

Recommended Posts

  • Ancien du Bureau
Posted

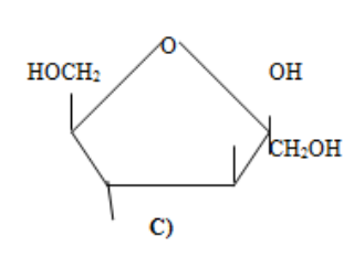
image.png.d744b586e2cfe8d893dcce2019411a4d.pngcette molécule est le Beta D fructopyranose 

Personnellement j'aurais plutôt dis que c'était celle-ci

image.png.3b77c91182915c90d3eee4792492fe3e.png

Ce qui me pose problème c'est les OH car si je le trouve à droite dans le cycle en tollens alors pourquoi sont-ils pas en bas dans le furane ?

image.png.7efb7a793030f1e760a06badd2340980.png

No comprendo !

Ah je crois que j'ai compris il faut retourner la molécule ne tollens non ? 

je sais pas si vous voyez ?

  • Élu Etudiant
  • Solution
Posted
il y a 2 minutes, Dr_Zaius a dit :

Ce qui me pose problème c'est les OH car si je le trouve à droite dans le cycle en tollens alors pourquoi sont-ils pas en bas dans le furane ?

 

Salut !

La règle quand on passe de Tollens à Haworth c'est que tout ce qui est à droite passe en bas, tout ce qui est à gauche passe en haut

Donc ici, dans le Tollens, on a le OH rattaché au C3 qui est à gauche donc il passe en haut en Haworth, et le OH rattaché au C4 est à droite donc passe en bas

Join the conversation

You can post now and register later. If you have an account, sign in now to post with your account.
Note: Your post will require moderator approval before it will be visible.

Guest
Reply to this topic...

×   Pasted as rich text.   Paste as plain text instead

  Only 75 emoji are allowed.

×   Your link has been automatically embedded.   Display as a link instead

×   Your previous content has been restored.   Clear editor

×   You cannot paste images directly. Upload or insert images from URL.

  • Recently Browsing   0 members

    • No registered users viewing this page.
×
×
  • Create New...