Jump to content

test statistique


Go to solution Solved by Mey,

Recommended Posts

Posted

salut,

 

peut on utiliser un test Z de l'écart réduit pour comparer 2 moyennes pour des échantillons indépendants ou appariés ? parce que dans le cours on a vu qu'on devait utliser un test Z de l'écart réduit pour comparer une moyenne à une valeur théorique mais dans le TD sur moodle, on l'utilise pr comparer 2 moyenne de  2 échantillons ?

et j'arrive pas à comprendre cette def du cours sur la p value:" probabilité d'obtenir une valeur de la statiqtique de test qui est au moins aussi extrême que celle observée dans l'échantillon si H0 est vraie " 

 

Et concernant les Biostats vous me conseillez de faire plus les annales ou les ED ?

 

merci bcppp

Posted

Salut ! @azmca18

Il y a 11 heures, azmca18 a dit :

peut on utiliser un test Z de l'écart réduit pour comparer 2 moyennes pour des échantillons indépendants ou appariés ?

Oui, considères que tu peux. Et si je peux rajouter un petit conseil : les TD mode sont assez représentatifs de l'examen, donc ils sont à maitriser ++ 😉 

 

Il y a 11 heures, azmca18 a dit :

def du cours sur la p value:" probabilité d'obtenir une valeur de la statiqtique de test qui est au moins aussi extrême que celle observée dans l'échantillon si H0 est vraie "

Le principal, c'est surtout de savoir l'utiliser! Mais je te met ici le lien d'un post qui pourras sûrement t'aider 

 

Posted

Salut !

 

Alors tu peux utiliser le test Z de l'écart réduit et le test de Student pour comparer une moyenne observée à une moyenne théorique, pour comparer 2 moyennes observées dans 2 échantillons indépendants et pour comparer 2 moyennes observées dans 2 échantillons appariés. La seule différence sera les conditions d'application, il faudra les vérifier pour savoir quel test utilisé.

Donc oui tu peux utiliser le test Z de l'écart réduit dans le cas de 2 échantillons.

 

Je vais essayer de t'expliquer au mieux ce qu'est p. D'abord il faut savoir que p est attaché à une expérience particulière (échantillon). p mesure l'écart entre l'échantillon et H0, il dépend de l'importance de la différence entre l'échantillon et H0. Il faut que la différence entre notre échantillon et notre hypothèse nulle soit peu importante pour dire que notre échantillon correspond à H0.

Si p est faible alors l'échantillon correspond peu à notre hypothèse nulle (H0 est peu crédible mais elle peut quand même être vraie) au contraire si p est élevé alors il y a de forte chance que notre échantillon corresponde à notre hypothèse nulle (H0 est d'avantage crédible).

Donc si \leq \alpha on rejette H0 car la probabilité d'obtenir une valeur de la statistique de test qui est au moins aussi extrême (très grande ou très petite) que celle observée dans l'échantillon si H0 est vraie est très faible et si p> \alpha on ne rejette pas H0 car la probabilité d'obtenir une valeur de la statistique de test qui est au moins aussi extrême (très grande ou très petite) que celle observée dans l'échantillon si H0 est vraie est élevée.

Cette notion est difficile à comprendre, aide toi des courbes qu'il y a dans ton cours pour bien voir à quoi correspond p. J'espère que maintenant c'est clair. Si jamais ce n'est toujours pas le cas repose la question et peut-être qu'un autre tuteur saura mieux te l'expliquer.☺️

 

Concernant la manière de réviser les biostats, le mieux est de faire des qcms qui ont été fait par les profs donc soit des annales doit les ED. Les deux sont très bien et le mieux est de faire les deux. A toi de voir 😉

 

Bon courage !

  • Solution
Posted (edited)

Coucou, le test de l'écart réduit s'applique dans les cas suivants:

        -Comparaison d’une Moyenne Observée à une Moyenne Connue (n\geq 30) tel que image.png.d8cf745a793aece0a05148e4225a326b.pngavec \mu _{H0} moyenne théorique de référence et M variable aléatoire qui a pour valeur les moyennes observées sur les échantillons

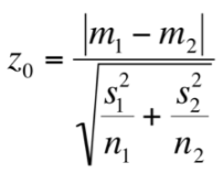
       -Comparaison de 2 Moyennes Observées (n\geq 30) tel que image.png.41f89d7a8f24c53cbe4b6471befc120b.pngavec m : moyenne observée de l’échantillon de taille n,
s : variance de l’échantillon et n : effectif de l’échantillon

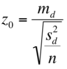
       -Comparaison de 2 Moyennes Echantillons Appariés  (n\geq 30) tel que image.png.420a08177e740c32b8eb05081104588f.pngs^{2}_{d} est la variance des di avec di correspondant à la différence observée entre 2 valeurs appariées et md=m1-m2

 

Donc tu peux utiliser le test de l'écart réduit en adaptant la formule utilisée en fonction du contexte 

 

Pour comprendre p je te met une image:image.thumb.png.1deb317c2a52d854505da37be7fbaf1d.png

on te dit p est la probabilité d’obtenir une valeur de la statistique de test qui est au moins aussi extrême que celle observée dans l’échantillon si H0 est vraie:  tu trouves par tes test paramétriques une valeur z_{0} (valeur de la statistique de test dans l'échantillon) que tu places en abscisse sur ta distribution en fait p ça va être l'aire sous la courbe (de ta fonction densité) au niveau des valeurs plus extrême que z_{0} ou encore la probabilité d'obtenir des statistiques de tests plus extrême que celle observées dans l'échantillon. Pour rejeter ou non H0 tu compare alors p avec \alpha (si p\leq \alpha on rejette H_{0} au risque \alpha de le faire à tort) ou alors tu compare z_{0} avec s

 

Enfin je te conseille de bien maitriser tes ED mais aussi de faire des annales quand tu auras épuisé le stock d'ED ça te permettra d'avoir une vision d'ensemble de ce qui peut tomber

Bon courage à toi! 💙

 

Edited by Mey

Join the conversation

You can post now and register later. If you have an account, sign in now to post with your account.
Note: Your post will require moderator approval before it will be visible.

Guest
Reply to this topic...

×   Pasted as rich text.   Paste as plain text instead

  Only 75 emoji are allowed.

×   Your link has been automatically embedded.   Display as a link instead

×   Your previous content has been restored.   Clear editor

×   You cannot paste images directly. Upload or insert images from URL.

  • Recently Browsing   0 members

    • No registered users viewing this page.
×
×
  • Create New...
Radio