Jump to content

molécule achirale


Go to solution Solved by Youttrium,

Recommended Posts

Posted (edited)

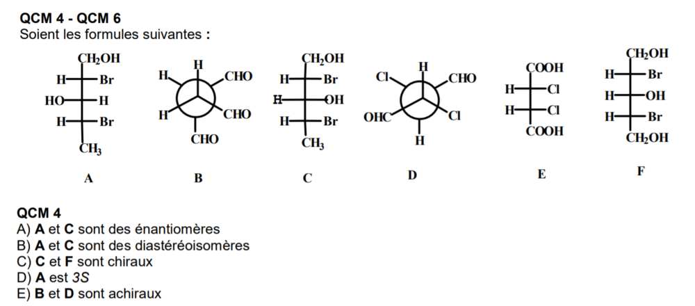
Bonjour, je n'arrive pas à répondre à l'item E, pour moi c'est faux car la molécule B devrait être chiral mais la correction dit que c'est vrai. Pouvez vous m'aider ?

Capture d’écran 2021-10-24 120823.png

Edited by TheFrenchDoctors
  • Ancien Responsable Matière
  • Solution
Posted

Bonjouuuur !

 

La molécule B est bien achirale. On remarque qu'aucun carbone de la molécule possède quatre substituants différents donc il n'y a aucun carbon asymétrique dans ta molécule et par conséquent pas de chiralité !

 

Je te mets en dessous un dessin qui explicite ce que je viens de te dire 😉 

image.png.18899d0bdc36bcec9cf5b6927363fbcc.png

 

C'est plus clair pour toi ? Sinon n'hésite pas !

Bonne journée et bon courage ❤️ 

  • Ancien Responsable Matière
Posted
il y a 27 minutes, Youttrium a dit :

Bonjouuuur !

 

La molécule B est bien achirale. On remarque qu'aucun carbone de la molécule possède quatre substituants différents donc il n'y a aucun carbon asymétrique dans ta molécule et par conséquent pas de chiralité !

 

Je te mets en dessous un dessin qui explicite ce que je viens de te dire 😉 

image.png.18899d0bdc36bcec9cf5b6927363fbcc.png

 

C'est plus clair pour toi ? Sinon n'hésite pas !

Bonne journée et bon courage ❤️ 

J'avais vu cet item, et quand je me représente la molécule en représentation de Fisher, j'ai du mal à voir pourquoi il est superposable à sa molécule image ?

  • Ancien Responsable Matière
Posted
il y a 55 minutes, Ezrich a dit :

J'avais vu cet item, et quand je me représente la molécule en représentation de Fisher, j'ai du mal à voir pourquoi il est superposable à sa molécule image ?

Coucouu ! Pour la molécule B, ce n'est pas ça qui fait qu'elle est achirale. Elle est achirale seulement car elle n'a aucun carbone asymétrique :))

 

Est-ce que j'ai répondu à ta question ? Sinon n'hésite pas !

Join the conversation

You can post now and register later. If you have an account, sign in now to post with your account.
Note: Your post will require moderator approval before it will be visible.

Guest
Reply to this topic...

×   Pasted as rich text.   Paste as plain text instead

  Only 75 emoji are allowed.

×   Your link has been automatically embedded.   Display as a link instead

×   Your previous content has been restored.   Clear editor

×   You cannot paste images directly. Upload or insert images from URL.

  • Recently Browsing   0 members

    • No registered users viewing this page.
×
×
  • Create New...