Jump to content

QCM6 Probas Conditionnelles - Pack de poly


Go to solution Solved by dwightkschrute,

Recommended Posts

Posted

Bonjour, 

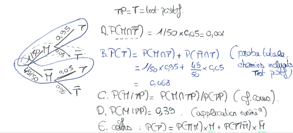
J'arrive pas a faire le qcm 6 (que j'ai mis en piece jointe) du biostat...

Est-ce que quelqu'un pourra m'expliquer svp?

 

Merciiiiii

 

1307816968_EkranResmi2021-10-1716_17_40.thumb.png.bb78b51f988fa83d2d6f25cbb323fe1e.png

  • Ancien du Bureau
Posted

Salut, 

J'ai dĂ©placĂ© ton message dans l'espace biostat et j'ai modifiĂ© le titre pour qu'il ai une meilleure visibilitĂ©. 😉 

En espĂ©rant que tu reçoives une rĂ©ponse 😇

Posted

salut! est-ce que tu as reussi a comprendre? n'hessite pas a reposer des questions et si c'est ok pour toi -> marque l'item comme résolu.

courage !

Join the conversation

You can post now and register later. If you have an account, sign in now to post with your account.
Note: Your post will require moderator approval before it will be visible.

Guest
Reply to this topic...

×   Pasted as rich text.   Paste as plain text instead

  Only 75 emoji are allowed.

×   Your link has been automatically embedded.   Display as a link instead

×   Your previous content has been restored.   Clear editor

×   You cannot paste images directly. Upload or insert images from URL.

  • Recently Browsing   0 members

    • No registered users viewing this page.
×
×
  • Create New...
Radio