Jump to content

un autre QCM d'oxydo-réduction


Go to solution Solved by Amélithium,

Recommended Posts

  • Ancien du Bureau
  • Solution
Posted

Coucou @PassPartout_ !

 

  • Item B : 

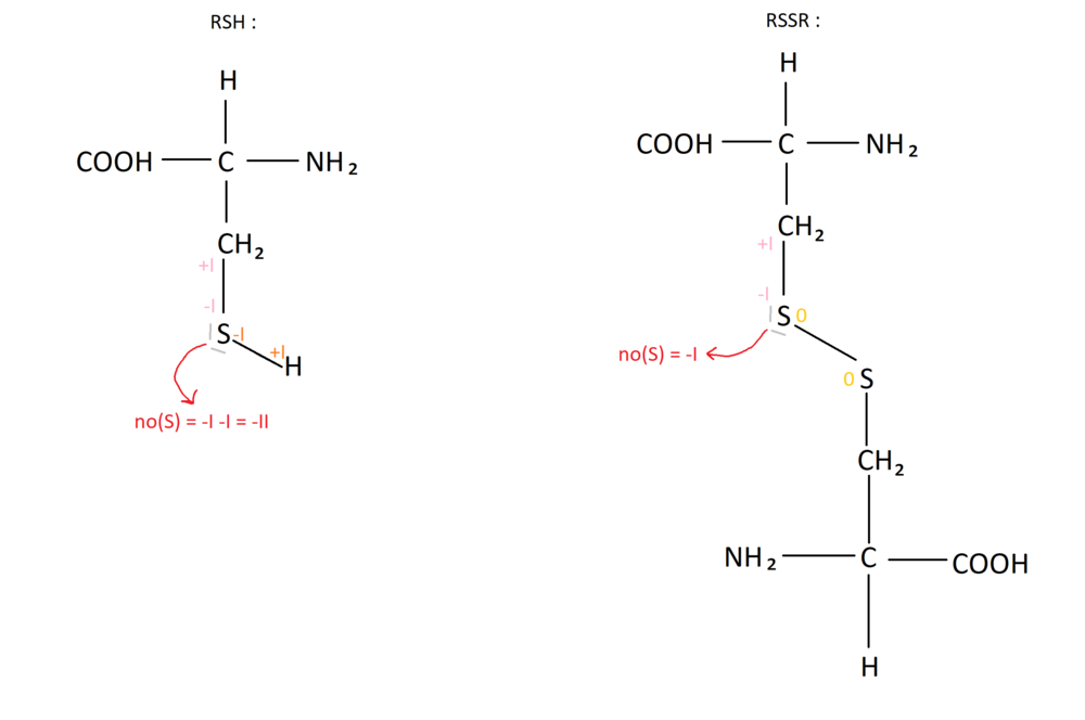
On te donne la formule de la cystéine donc tu vas pouvoir la dessiner pour trouver le no de l'atome qui va changer. Ici il s'agit du S

image.png

Du coup tu peux trouver les "petits no" de chaque liaison que fait le S. Tu sais que S est plus EN que C donc la liaison sera polarisée avec S qui attire plus les e- vers lui (-I) que C (+I). Il en est de même pour la liaison SH. Donc tu trouves no(S) = -II pour RSH. 

Tu fais pareil pour RSSR : La liaison S-S n'est pas polarisée vu qu'il s'agit du même atome donc no(S) = -I.

Est-ce que ça déjà c'est bon ?

 

Tu as donc ton couple RedOx

RSH          = RSSR                sauf que tu vois que RSSR est en gros l'équivalent de 2 RSH, il faut donc mettre 2 RSH afin d'avoir 2 S de chaque côté

2RSH          = RSSR

Maintenant que tu as tes no tu peux trouver les e- échangés entre le couple

2 RSH          = RSSR             avec 2 x (-II) = 2 x (-I) soit -IV = -II donc il faut ajouter 2 e- à droite (-2) pour faire -IV de chaque côté

2 RSH          = RSSR + 2 e-

Ensuite on équilibre les charges avec H3O+ : on a 2 - à droite et pas à gauche donc on met 2 H3O+ à droite pour revenir à 0 :

2 RSH          = RSSR + 2 e- + 2 H3O+

Enfin on termine en équilibrant la matière avec H2O : sois tu recomptes pour les atomes de la molécules, sois tu regardes ce qu'il change (on faire la méthode détaillée, comme ça on est sûr de ne pas se tromper) 

S : 2                       S : 2                            -> OK

C : 3 x 2 = 6         C : 6                           -> OK

O : 2 x 2 = 4         O : 4 + 2 x 1 = 6        -> il faut donc 2 H2O à gauche 2 RSH + 2 H2O = RSSR + 2 e- + 2H3O+

On vérifie quand même que pour les H ce soit bon (ça confirmera que l'équation est juste, si ce n'est pas le cas, c'est qu'il y a une erreur) :

H : 7 x 2 + 2 x 2 = 18       H : 12 + 2 x 3 = 18   -> donc on est bon !

 

La demi-équation est donc

2 RSH + 2 H2O = RSSR + 2 e- + 2 H3O+

 

Je crois que votre professeur ne vous en parle pas mais il y a une règle toute simple, appelée Règle du gamma, qui permet de savoir dans quel sens a lieu la réaction. 

Tu commences par tracer une flèche verticale qui va représenter tes E°, à gauche on va placer les Ox et à droite les Red avec leur valeur de E°, en respectant l'échelle (plus on monte le long de la flèche, plus ton E° est élevé). 

Enfin tu traces un gamma (on part donc de l'Ox en haut à gauche en allant vers le Red en bas à droite, puis l'Ox en bas à gauche et on remonte vers le Red en haut à droite) ! 

image.png

La droite qui va vers le bas à droite relit les réactifs, la barre horizontale correspond au = et la droite qui va en haut à droite relit les produits ! 

Sinon tu retiens la phrase suivante : L'Ox le plus fort (= E° le + élévé) réagit avec le Red le plus fort (= E° le + faible) pour donner les Ox et Red les plus faibles (respectivement E° bas et E° élevé).

 

Donc on a : NAD+ + RSH = RSSR + NADH

Mais il faut quand même prendre en compte les demi-équation pour que l'équation soit correcte (on a bien 2 e- échangés dans chaque demi-équation donc ça c'est déjà équilibré !), on obtient donc : 

NAD+ + H3O+ + 2 RSH + 2 H2O = RSSR + NADH + H2O + 2 H3O+

 

On voit qu'on a des H2O et des H3O+ de chaque côté donc on simplifie : 

NAD+ + 2 RSH + H2O = RSSR + NADH + H3O+

Ils ont pas été sympas (petit piège vicieux de ce magnifique livre 😍), ils ont utilisé des H+ au lieu des H3O+ mais pas de panique ça demande juste une étape supplémentaire ! 

On sait que : H3O+ = H+ + H2

Donc il suffit de remplacer et d'éliminer ce qui se retrouve avant ET après ! 

NAD+ + 2 RSH + H2O = RSSR + NADH + H+ + H2

L'équation recherchée est donc : 

NAD+ + 2 RSH = RSSR + NADH + H+ 

 

L'item est donc VRAI !

  • Item D :

Pour cet item, tu dois connaitre la formule suivante : 

image.png

Dans la réaction que l'on te donne dans l'énoncé tu vois que tu as 1 H+ et 2 e- échangé donc x = 1 et n = 2 !

Donc E(NAD+/NADH) = E°(NAD+/NADH) - 0,06 x 1/2 pH - 0,06/2 x log([NADH]/[NAD+])

E(NAD+/NADH) = E°(NAD+/NADH) - 0,03 pH - 0,03 x log([NADH]/[NAD+])

Tu vois donc que l'item est FAUX

 

Dis-moi si c'est plus clair ! 

SI tu as des questions, ou que je suis parfois allée trop vite, n'hésite pas à me le dire ! 

Posted
il y a 7 minutes, Amélithium a dit :

Coucou @PassPartout_ !

 

  • Item B : 

On te donne la formule de la cystéine donc tu vas pouvoir la dessiner pour trouver le no de l'atome qui va changer. Ici il s'agit du S

image.png

Du coup tu peux trouver les "petits no" de chaque liaison que fait le S. Tu sais que S est plus EN que C donc la liaison sera polarisée avec S qui attire plus les e- vers lui (-I) que C (+I). Il en est de même pour la liaison SH. Donc tu trouves no(S) = -II pour RSH. 

Tu fais pareil pour RSSR : La liaison S-S n'est pas polarisée vu qu'il s'agit du même atome donc no(S) = -I.

Est-ce que ça déjà c'est bon ?

 

Tu as donc ton couple RedOx

RSH          = RSSR                sauf que tu vois que RSSR est en gros l'équivalent de 2 RSH, il faut donc mettre 2 RSH afin d'avoir 2 S de chaque côté

2RSH          = RSSR

Maintenant que tu as tes no tu peux trouver les e- échangés entre le couple

2 RSH          = RSSR             avec 2 x (-II) = 2 x (-I) soit -IV = -II donc il faut ajouter 2 e- à droite (-2) pour faire -IV de chaque côté

2 RSH          = RSSR + 2 e-

Ensuite on équilibre les charges avec H3O+ : on a 2 - à droite et pas à gauche donc on met 2 H3O+ à droite pour revenir à 0 :

2 RSH          = RSSR + 2 e- + 2 H3O+

Enfin on termine en équilibrant la matière avec H2O : sois tu recomptes pour les atomes de la molécules, sois tu regardes ce qu'il change (on faire la méthode détaillée, comme ça on est sûr de ne pas se tromper) 

S : 2                       S : 2                            -> OK

C : 3 x 2 = 6         C : 6                           -> OK

O : 2 x 2 = 4         O : 4 + 2 x 1 = 6        -> il faut donc 2 H2O à gauche 2 RSH + 2 H2O = RSSR + 2 e- + 2H3O+

On vérifie quand même que pour les H ce soit bon (ça confirmera que l'équation est juste, si ce n'est pas le cas, c'est qu'il y a une erreur) :

H : 7 x 2 + 2 x 2 = 18       H : 12 + 2 x 3 = 18   -> donc on est bon !

 

La demi-équation est donc

2 RSH + 2 H2O = RSSR + 2 e- + 2 H3O+

 

Je crois que votre professeur ne vous en parle pas mais il y a une règle toute simple, appelée Règle du gamma, qui permet de savoir dans quel sens a lieu la réaction. 

Tu commences par tracer une flèche verticale qui va représenter tes E°, à gauche on va placer les Ox et à droite les Red avec leur valeur de E°, en respectant l'échelle (plus on monte le long de la flèche, plus ton E° est élevé). 

Enfin tu traces un gamma (on part donc de l'Ox en haut à gauche en allant vers le Red en bas à droite, puis l'Ox en bas à gauche et on remonte vers le Red en haut à droite) ! 

image.png

La droite qui va vers le bas à droite relit les réactifs, la barre horizontale correspond au = et la droite qui va en haut à droite relit les produits ! 

Sinon tu retiens la phrase suivante : L'Ox le plus fort (= E° le + élévé) réagit avec le Red le plus fort (= E° le + faible) pour donner les Ox et Red les plus faibles (respectivement E° bas et E° élevé).

 

Donc on a : NAD+ + RSH = RSSR + NADH

Mais il faut quand même prendre en compte les demi-équation pour que l'équation soit correcte (on a bien 2 e- échangés dans chaque demi-équation donc ça c'est déjà équilibré !), on obtient donc : 

NAD+ + H3O+ + 2 RSH + 2 H2O = RSSR + NADH + H2O + 2 H3O+

 

On voit qu'on a des H2O et des H3O+ de chaque côté donc on simplifie : 

NAD+ + 2 RSH + H2O = RSSR + NADH + H3O+

Ils ont pas été sympas (petit piège vicieux de ce magnifique livre 😍), ils ont utilisé des H+ au lieu des H3O+ mais pas de panique ça demande juste une étape supplémentaire ! 

On sait que : H3O+ = H+ + H2

Donc il suffit de remplacer et d'éliminer ce qui se retrouve avant ET après ! 

NAD+ + 2 RSH + H2O = RSSR + NADH + H+ + H2

L'équation recherchée est donc : 

NAD+ + 2 RSH = RSSR + NADH + H+ 

 

L'item est donc VRAI !

  • Item D :

Pour cet item, tu dois connaitre la formule suivante : 

image.png

Dans la réaction que l'on te donne dans l'énoncé tu vois que tu as 1 H+ et 2 e- échangé donc x = 1 et n = 2 !

Donc E(NAD+/NADH) = E°(NAD+/NADH) - 0,06 x 1/2 pH - 0,06/2 x log([NADH]/[NAD+])

E(NAD+/NADH) = E°(NAD+/NADH) - 0,03 pH - 0,03 x log([NADH]/[NAD+])

Tu vois donc que l'item est FAUX

 

Dis-moi si c'est plus clair ! 

SI tu as des questions, ou que je suis parfois allée trop vite, n'hésite pas à me le dire ! 

merci beaucoup d'avoir pris le temps j'ai vraiment tout compris mtn ! t'es la best merciiiii ❤️

  • Ancien du Bureau
Posted
il y a 3 minutes, PassPartout_ a dit :

merci beaucoup d'avoir pris le temps j'ai vraiment tout compris mtn !

Avec plaisir ! ❤

 

il y a 4 minutes, PassPartout_ a dit :

t'es la best merciiiii ❤️

😊 J'adore vous expliquer la Chimie donc vraiment c'est avec plaisir !!!

Join the conversation

You can post now and register later. If you have an account, sign in now to post with your account.
Note: Your post will require moderator approval before it will be visible.

Guest
Reply to this topic...

×   Pasted as rich text.   Paste as plain text instead

  Only 75 emoji are allowed.

×   Your link has been automatically embedded.   Display as a link instead

×   Your previous content has been restored.   Clear editor

×   You cannot paste images directly. Upload or insert images from URL.

  • Recently Browsing   0 members

    • No registered users viewing this page.
×
×
  • Create New...