Jump to content

Composé cyclique


Go to solution Solved by pomelo,

Recommended Posts

Posted

Bonsoir c'est une question qui devrai être facile à répondre. J'ai juste du mal à comprendre ce qu'est un composé cyclique, j'ai compris que ça formait un cycle et que c'était en rapport avec les liaisons covalentes, mais même avec google je ne comprend rien. 

Merci d'avance pour la réponse 🙂

Posted

Je me demandais aussi par simple curiosité: Pourquoi l'ADN ne peut-il pas être hydrolysé tandis que l'ARN, lui, peut? 

  • Ancien Responsable Matière
  • Solution
Posted

Helloo,

 

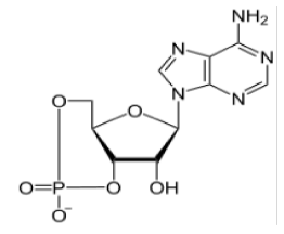
un composé cyclique est un composé qui au lieu d'avoir une liaison ester entre le ribose et le phosphate, contient une liaison phosphodiester

1481051348_Capturedecran2021-09-27a13_08_33.png.ebca0517f78d524141005dd12118cfd6.png

 

Concernant l'hydrolyse, pour moi l'ADN et l'ARN peuvent tous les deux être hydrolysés 🙂

Tu peux poser cette question au professeur Couderc sur le forum de l'UE sur moodle, ou en TD pour être sur et avoir plus de précision 😊

 

en espérant t'avoir aidé 

Posted

C'est seulement ça, je pensais que c'était plus complexe... définition de google: "En chimie organique, un composé cyclique est une substance dans laquelle au moins une série d'atomes, notamment de carbone, est liée de manière successive par des liaisons covalentes pour former un cycle (une molécule cyclique). S'il y a plusieurs cycles le composé est dit polycyclique"

 

Pour l'hydrolyse de l'ADN c'est écris dans le cours qu'il ne peut pas être hydrolysé contrairement à l'ARN (Je t'ai surligné en rouge ce dont je te parle là dans le screen en dessous)

 

image.png.d71d22d13a055526778c1e6662439560.png

2'-désoxy... correspond à l'ADN. Ce qui est dit ensuite c'est qu'il est plus stable (en faisant référence à l'ARN, qui lui est constitué de ribose), car il résiste à l'hydrolyse. Je pense que tu as raison, je vais demander à un prof, merci pour ta réponse ! 🙂 

Join the conversation

You can post now and register later. If you have an account, sign in now to post with your account.
Note: Your post will require moderator approval before it will be visible.

Guest
Reply to this topic...

×   Pasted as rich text.   Paste as plain text instead

  Only 75 emoji are allowed.

×   Your link has been automatically embedded.   Display as a link instead

×   Your previous content has been restored.   Clear editor

×   You cannot paste images directly. Upload or insert images from URL.

  • Recently Browsing   0 members

    • No registered users viewing this page.
×
×
  • Create New...